Introduction
Domestic violence accounts for 15 percent of all violent crimes in the United States (Truman and Morgan 2014). One in seven men and one in four women will be victims of domestic violence during their lifetimes (National Coalition Against Domestic Violence 2020). In the case of Hispanic women, this rate is one in three, with 63 percent of the victims enduring multiple episodes of domestic violence (National Latin@ Network 2013).1 For further references on these statistics, please visit: http://www.nationallatinonetwork.org/learn-more/facts-and-statistics/references. Yet less than 50 percent of them report the incidents, with some of the most commonly mentioned reasons for not reporting being fear and lack of confidence in the police, as well as fear of deportation (e.g., Sabina et al. 2013; Reina et al. 2014; Zadnik et al. 2016; Mowder et al. 2018).
Concerns regarding the potential cooperation of local law enforcement with immigration officials are not unique to immigrants, undocumented or otherwise. Lopez et al. (2018) document how a majority of Latinos (55 percent) indicate worrying “a lot” or “some” about a relative or a close friend being deported, regardless of their immigration or legal status—up from 47 percent in 2017. These statistics corroborate police testimony, anecdotal reports, and empirical research suggesting that local police involvement in immigration enforcement increases fear and mistrust among immigrants (Nguyen and Gill 2015; Nittle 2018). With growing engagement of local law enforcement with the Department of Homeland Security, Hispanics have reported feeling more under suspicion,2Theodore (2013) surveyed Hispanics in Cook County (Chicago, IL), Harris County (Houston, TX), Los Angeles and Maricopa Counties (Phoenix, AZ) in November of 2012 and found that 38 percent reported feeling under suspicion, and 44 percent of the sample indicated being less likely to report a crime to the police for fear of having to disclose their immigration status or that of relatives or friends making them less likely to report criminal activity to the police for fear the police may inquire about their immigration status or about the status of people they know (Theodore 2013).
Several states and localities have limited the cooperation of their law enforcement agencies with federal immigration authorities via what have been labeled as “sanctuary policies.”3Through the adoption of a sanctuary policy, local enforcement agencies reduce the extent of their cooperation with federal immigration authorities. In most instances, they may fail to observe Immigration Customs Enforcement’s (ICE) requests to hold detainees beyond their release date for an additional 48 hours. The detainer (also called an “ICE hold”) is most often used to notify the law enforcement agencies (LEAs) of ICE’s intention to assume custody of an immigrant, or to request information about an immigrant’s impending release so ICE can attempt to assume custody before the immigrant is released from custody. Other times, they may fail to communicate to ICE when detainees for whom a detainer was issued are released. As such, sanctuary policies have the potential to reduce deportation fears and increase cooperation with local authorities in Hispanic communities, especially in those more severely threatened by immigration enforcement (Menjivar and Bejarano 2004). See the case of Los Angeles Policy Department as documented in Brattton (2009). Based on existing evidence of people being more likely to report a crime when they trust the police (Kwak, Dierenfeldt, and McNeeley 2019), sanctuary policies have been expected to increase community cooperation with the police. And, indeed, prior research has shown that relaxing immigration policies increases cooperation with the police among Hispanics ( Jacome 2018; Comino, Mastruoboni, and Nicolò 2016). Yet despite the high under-reporting rate of domestic violence and its high incidence among Hispanic women—who explicitly note concerns about immigration enforcement as a main reason for not reporting—we still know little about how sanctuary policies impact their domestic violence rates (Caetano et al. 2002). Measuring the effect of sanctuary policies on domestic violence is challenging because sanctuary policies may affect both the incidence of domestic violence, as well as the probability that someone will report a domestic violence incident. In terms of incidence, there could be different scenarios. On one hand, sanctuary policies may reduce the incidence of domestic violence if offenders grow concerned about their victims’ increased likelihood to report an incident or if, in the midst of a friendlier environment toward immigrants, their victims feel safer to come out of the shadows, search for better jobs, and increase their financial independence and bargaining power (Aizer 2010; Aizer and Dal Bo, 2009). On the other hand, sanctuary policies may increase the incidence of domestic violence if undocumented offenders foresee a lesser threat of deportation. Finally, it is also possible for immigration policy to lack a significant impact on the incidence of domestic violence. This could be the case if, for example, the number of individuals likely to respond to sanctuary policies is rather small, or if offenders or victims potentially involved in domestic violence are unaware of the policy.
Aside from their impact on the incidence of domestic violence, sanctuary policies may also alter the reporting of domestic violence incidents. In particular, we would expect a laxer immigration enforcement environment to increase the propensity to report domestic violence by victimized immigrants or by victims with migrant family members or friends, as they might feel safer in their interactions with law enforcement.
Because it is not feasible to distinguish between the impacts of sanctuary policies on the incidence versus the reporting of domestic violence using data on reported crimes,4An alternative would be to use representative survey data on domestic Unfortunately, the one survey deemed representative of criminal incidence in the United States—the National Crime Victimization Survey— does not provide information on the county of residence of the respondent for the more recent period during which sanctuary policies have been in place.we focus on extreme events of domestic violence that rarely go unreported—namely, domestic homicides. Domestic homicides provide us with a lower bound of the extent of domestic violence—after all, this is a type of homicide typically preceded by repeated incidents of domestic violence (Zezina et al. 2018). Domestic homicides are defined as homicides where the offender is the victim’s current or former romantic partner or a family member. To our knowledge, this is the first study examining how the adoption of sanctuary policies is impacting domestic homicide rates amongst the more afflicted female Hispanic community.
This study contributes to the ongoing debate about immigration policies given the current policy environment of heightened immigration enforcement and the Trump administration’s decision to no longer consider domestic violence as proper grounds for protection from deportation, even among those seeking asylum (Benner and Dickerson 2018). Taking into account the unintended consequences of immigration policies is crucial given the growing number of immigrants impacted by immigration enforcement,5 The share of married couples with at least one non-citizen member per married couple has increased from 7 percent to 10 percent between 2001 and 2016 (authors’ tabulations using the American Community Survey). the high prevalence of domestic homicide among this subsample,6 An average of three women are murdered by their partners every day (American Psychological Association 2020). and the high social cost of domestic violence.7Finally, the physical, psychological, and economic costs of domestic violence remain very high, exceeding $9 billion in 2017 dollars in the United States. Converted to 2017 dollars, the cost of IPV in the United States would be $9.3 billion (McLean and Gonzalez Bocinski, 2017). In addition, this study contributes to two main bodies of literature. First, it adds to the literature analyzing the impact of immigration policy on immigrants, especially the undocumented (e.g., Amuedo-Dorantes, Arenas-Arroyo, and Sevilla 2018; Amuedo-Dorantes and Arenas-Arroyo, forthcoming; Amuedo-Dorantes and Arenas-Arroya 2018; Bohn, Lofstrom, and Raphael 2014), as well as on the particular effectiveness of sanctuary policies in combating crime (Wong 2017; Gonzalez et al. 2017). Second, it informs the literature on policy measures that can prove effective in reducing domestic violence and, ultimately, domestic homicide (Miller and Segal 2019; Amuedo-Dorantes and Arenas-Arroyo 2019).8 In that regard, Miller and Segal (2019) show that having more female officers increases the number of domestic violence incidents reported to the police. Amuedo-Dorantes and Arenas-Arroyo (2019) use state-level data on VAWA self-petitions and show that the granted petitions for adjusting to a permanent immigration status increased with sanctuary policies. In our case, we explore how the adoption of sanctuary practices limiting law enforcement cooperation with federal immigration authorities might affect domestic homicide rates among Hispanic women, particularly those who are more likely than non-Hispanic women to be undocumented or to reside in mixed-status households.
Using data from the Uniform Crime Report Supplementary Homicide Report (United States Department of Justice, 2017) between 2003 and 2017 and a quasi-experimental approach, we assess how sanctuary policies (e.g., Trust Acts, as well as local level ordinances, resolutions, and practices intended to increase community trust and cooperation with the police) impact domestic homicide rates, especially among Hispanic women. We find that the adoption of sanctuary policies is accompanied by a lower rate of domestic homicides involving a female Hispanic victim. The effects are unique to that population, which is also more likely to encompass undocumented women and women residing in mixed-status households than other demographics, such as white non-Hispanic females. In addition, likely due to the greater prevalence of domestic homicides among women, the impacts are not present for men.
Our findings prove robust to several specification and identification checks. In particular, we first show a lack of differential trends in domestic homicides in sanctuary versus non-sanctuary localities prior to the adoption of any policy. Second, we address endogeneity concerns based on the non-random location of Hispanic communities, the selective adoption of sanctuary policies, and the presence of potential confounders, such as simultaneous changes in policing at the local level. Third, we investigate potential determinants of the effectiveness of sanctuary policies in reducing domestic homicide among Hispanic women. We find that counties exposed to a higher level of interior immigration enforcement enjoyed a greater reduction in domestic violence homicides following the implementation of a sanctuary policy that decreases fear of deportation and promotes community cooperation with the police. Additionally, counties with a greater number of female police officers experienced a larger decrease in domestic homicide—a finding in line with domestic violence reporting rising with the presence of female police officers (Miller and Segal 2019). Lastly, the effects are smaller in localities with mandated arrest policies for domestic violence. Overall, these findings are suggestive of the value of sanctuary policies in increasing police trust and, possibly, promoting early reporting of incidents before they escalate to homicides, which may also inhibit offending. In addition, we explore the possibility that sanctuary policies might have affected the financial independence of potential victims, increasing their ability to end an abusive relationship and improving their bargaining power within the household.
The rest of the paper is organized as follows. Section 2 describes the data, and section 3 explains the methodology. In section 4 we present and discuss our main findings, identification, and robustness checks. Heterogeneity analyses aimed at pinning down the mechanisms at play are performed in section 5. Finally, section 6 summarizes our key results and concludes the study.
Data and Descriptive Statistics
Unified Crime Report Data
We use 2003 through 2017 data from the Federal Bureau of Investigation’s (FBI) Uniform Crime Reports (UCR) Supplementary Homicide Reports (SHR), which provide information on homicides reported to the police, regardless of whether they were murders, manslaughters, or justifiable homicides (e.g. self-defense). This time span covers a period of intense increase in immigration enforcement, as well as one characterized by the development of sanctuary policies. All law enforcement agencies operating under a US jurisdiction—federal, state, county, city, tribal country, or university or college—submit crime data to the UCR either through a state UCR program or directly to the FBI. The UCR program has a large coverage and offers high data accuracy.9Between 88 to 96 percent of the US population is covered by agencies that report to the FBI’s UCR Program (Maltz 1999).
The UCR consists of several other datasets, including one on Offenses Known to Police and another one on Arrests. However, because immigration policy is likely to impact the reporting of offenses to the police, any detected changes in either reported crimes or arrests following the adoption of a sanctuary policy could be due either to changes in reporting or to changes in the incidence of criminal activity, or both. Homicides, on the other hand, are unlikely to go unreported. Hence, changes in their rates are likely to reflect changes in the incidence of criminal activity.
Although violent crimes such as domestic violence already have a dramatically higher social cost than property crimes, homicides represent the pinnacle. Their cost accounts for 60 percent of the per capita expected cost of crime (Chalfin and McCrary 2018). Therefore, policies affecting the incidence of homicides can prove helpful at reducing crime-related costs.
The unit of analysis in the SHR is a homicide incident. The dataset contains detailed information on each incident, including the gender, age, and ethnic background of the victim, the victim’s relationship to the offender, and weapon used.10We focus on demographics of the victim because demographics of the offender are largely missing. The SHR also includes some demographics of the offender, although these are largely missing. The SHR has information on 210,240 incidents taking place between 2003 and 2017. Because SHR reports incidents, a missing agency-year could imply either that the agency did not have any homicides in that period or that the agency is missing data for that year. While homicides rarely go unreported, we prevent mismeasurement issues by restricting the analysis to the 158,643 incidents that occurred in agencies corresponding to cities with at least 10,000 inhabitants—these are cities that also appear consistently in the sample and are unlikely to be covered by another larger agency. This results in a sample consisting of 1,134 counties. Since the analysis is focused on large agencies, it is fair to assume that any missing county-year cells are indicative of no homicides being reported in that county-year.11Among these 1,134 counties, 25 percent report at least one homicide every year between 2003 and 2017.Nevertheless, as a robustness check, we also conduct the analysis using the subsample of agencies that report at least one homicide every year and, therefore, appear consistently every year. As we shall discuss, the results prove robust to using this subsample.[/mfn]
Our outcome of interest is the county rate of homicides per 100,000 residents, which is estimated separately according to the type of relationship of the offender and victim (i.e., strangers, acquaintances,12Acquaintance involves the following codes: AQ (Acquaintance), EE (employee), ER (employer), FR (Friend), NE (Neighbor), and OK (Other known to victim). family members,13 Family involves BR (brother), DA (daughter), FA (father), IL (in-law), MO (mother), OF (other family), SD (stepdaughter), SF (stepfather), SI (sister), SM (stepmother), SO (son), and SS (stepson). or partners and family).14Partner involves the following codes: BF (boyfriend), CH (common-law husband), CW (common-law wife), GF (girlfriend), HO (homosexual relationship), HU (husband), WI (wife), as well as ex-husband (XH) and ex-wife (XW).Table 1 contains some sample descriptive statistics. County-year cells for the overall sample are summarized in panel A. Observations corresponding to sanctuary counties are summarized in panel B, whereas observations corresponding to non-sanctuary counties are summarized in panel C. Panel D provides further summary statistics for observations corresponding to counties that eventually implement sanctuary policies prior to its implementation, whereas panel E contains summary statistics for the years following the implementation of a sanctuary policy in adopting counties.15Summary statistics for agencies that report at least one homicide every single year are similar. Since the analysis focuses on agencies with at least 10,000 residents, most of them would likely have a homicide every year.
According to panel A, the modal relationship between offender and victim is acquaintance (with a rate of 0.981 homicides per 100,000 residents). Furthermore, summary statistics from panels B and C reveal that, over the sample period being examined, homicide rates involving family, significant others, or partners were slightly higher in counties without a sanctuary policy in place (averaging 0.281 per 100,000 residents) when compared to sanctuary counties (0.253 per 100,000 residents). A similar pattern is observed for women, for whom the family homicide rate in the case of Hispanics is 0.011 per 100,000 residents in non-sanctuary states and 0.019 in sanctuary counties. In fact, a closer look at panels D and E uncovers a reduction in the Hispanic female homicide rate involving family, significant others, or partners; after the implementation of a sanctuary policy, the rate changed from 0.059 to 0.053 per 100,000 residents—a reduction that supports the notion that sanctuary policies might prove helpful in lowering the incidence of domestic homicides.
Data on Sanctuary Policies
Our purpose is to assess how the adoption of sanctuary policies has impacted domestic homicide rates, especially among Hispanic women; these women endure some of the highest domestic violence rates and yet are less likely to report incidents to the police for fear they might be asked about their legal status or about the status of people they know.
As noted by the American Immigration Council (Tramote 2017), over the past decades, several cities, counties, and states have adopted policies aimed at protecting their residents, regardless of their immigration status. While the policies have varied greatly in nature, the ones that have received the most attention in recent years have been a subset of laws, policies, and resolutions limiting the cooperation of local law enforcement with federal immigration authorities in their application of immigration law. This is done in various ways, with the most common ones involving one or more of the following elements: restricting the ability of police to make arrests due to federal immigration violations; prohibiting 287(g) agreements between the local enforcement agencies and Immigration Customs Enforcement (ICE) that deputize local police officers to enforce federal immigration laws; limiting the response to ICE detainers;16 An ICE detainer—or “immigration hold”—is one of the tools used by ICE to apprehend individuals who encounter local and state law enforcement agencies. It is a written request that a local jail or other law enforcement agency detain an individual for an additional 48 hours (excluding weekends and holidays) after his or her release date in order to provide ICE agents extra time to decide whether to take the individual into federal custody for removal purposes. refusing to contract with the federal government to hold immigrants in detention; refusing to allow ICE into local jails without a warrant; and restricting immigration enforcement in sensitive locations like hospitals, schools, or court houses (Graber and Marquez 2016).
Sanctuary policies quickly expanded following a peak in interior immigration enforcement around 2012. A number of states enacted the so-called Trust Acts, covering all jurisdictions within the state (Federation for American Immigration Reform 2018).17For instance, California Senate Bill 54 effectively makes California a “sanctuary state” by legalizing and standardizing state-wide non- cooperation policies between California law enforcement agencies and federal immigration authorities. In addition, several cities and counties in states without a Trust Act adopted resolutions and ordinances that limited the cooperation of their law enforcement personnel with federal immigration authorities (Griffith and Vaughan, 2020). The adoption of these policies—arguably aimed at promoting community trust and cooperation with the police, particularly in immigrant communities—designated the localities implementing the policies as “sanctuary cities.” To gauge the impact of these sanctuary policies on domestic homicide rates, we create a dichotomous variable indicative of whether the county had a sanctuary policy in place in a given year . As shown by figures 1 and 2, these practices evolved over the period studied. While some sanctuary policies were already in place in the 1990s, the vast majority took off after a peak in interior immigration enforcement around 2013 and have been progressively enacted up until the end of the time period under consideration—namely, 2017. The initial sanctuary counties were concentrated in the Pacific Northwest. They were followed by counties in California, as well as localities in the Southwest and in the Northeast of the United States. Overall, as shown in table A in the appendix, the average share of (county, year) observations with a sanctuary policy in place in our sample hovered around 12 percent.
Other Data Sources
The analysis also includes several time-varying county-level controls potentially affecting homicide rates. First, we account for the tougher interior immigration enforcement environment that often preceded the adoption of sanctuary policies. This is done through an index intended to proxy for the intensity of interior immigration enforcement in any given county and year. The index, which is described in detail in the appendix, takes into account the plurality of interior immigration enforcement initiatives adopted over the time period under examination, all of which might have contributed to the overall environment affecting the reporting and incidence of domestic violence.
Secondly, we account for several demographic traits known to be correlated with criminal activity that are collected from the bridged-race population estimates (i.e., the share of males, the share of blacks, the share of minors, the share of population between 18 and 25 years of age, the share of males between 18 and 25 years of age, and the share of Hispanics). These estimates are produced by the US Census Bureau in collaboration with the National Center for Health Statistics (NCHS). Additionally, we control for the rate of overall homicides to account for overall trends in homicide rates, and we control for the number of officers per 10,000 residents, obtained from the UCR Police Employee database (Law Enforcement Officers Killed and Assaulted Program-LEOKA, 2016).
Methodology
Empirical Approach
Our goal is to gauge the extent to which the adoption of sanctuary policies might have affected domestic homicide rates among Hispanic women. As noted earlier, our focus on Hispanic women is due to the higher incidence of domestic homicide within this collective and the low reporting rates of domestic violence among Hispanic women due to fear that law enforcement might inquire about their immigration status or about the status of people they know. Since domestic violence precedes domestic homicide, policy that reduces the incidence of domestic violence could potentially prevent homicides. Given the role played by sanctuary cities in limiting the cooperation of local law enforcement agencies with immigration officials, and given Hispanic women’s reticence to report domestic violence for fear they might be asked about their immigration status or the status of people they know, we are particularly interested in gauging how the adoption of sanctuary policies might impact the incidence of domestic homicides for this demographic.
To that tend, we exploit the geographic and temporal variation in the adoption of sanctuary policies by US counties over the 2003–2017 period by estimating the following benchmark model separately for male and female Hispanic victims, as well as for their non-Hispanic white counterparts:
(1)
where measures the share of domestic homicides per 100,000 residents in county
and year
. The vector
a dummy indicative of the adoption of sanctuary policies by county
in year
. Equation (1) also includes a vector of county-level time-varying demographic traits
, such as the share of Hispanics, blacks, males, minors, and the share of populations thought to be more crime-prone, as is the case with the share of 18 to 25-year-olds, and the share of males between 18 and 25 years of age in each county-year. In addition, the vector
includes information on the state-year rate of officers per 10,000 residents, the overall homicide rate to capture secular trends in violent crime, and the total population in each county-year. Finally, the vector
also accounts for the intensity of interior immigration enforcement, as captured by the index described in the data appendix.
Equation (1) incorporates a vector of county fixed effects, , which captures county-specific and time-invariant traits, as well as a vector of year fixed effects,
. In the case of crime, there are several variables that vary at the state level that can be important determinants of crime. Examples include year-to-year changes in public funding for policing and prisons, as well as year-to-year changes in police training, police tactics, anti-crime sentiment or socioeconomic conditions. Addressing these potential confounders is crucial when studying crime. While some of the literature attempts to account for these factors using state-by- year fixed effects (Bondurant, Lindo, and Swensen 2018; Swensen 2015), some of the states in our sample implemented statewide sanctuary policies. The inclusion of state-by-year fixed effects would eliminate the variation at the state-year level of such policies and prevent us from gauging their effectiveness. Hence, we opt for a less restrictive state-specific time trend,
. This allows us to take into account, for example, linear year-to-year changes in these covariates. Nevertheless, in alternative model specifications included in the appendix, we also experiment with a more restrictive specification that includes the abovementioned state-by-year fixed effects. In addition, we experiment with including a treatment-specific linear trend to account for the possibility that counties that had ever adopted a sanctuary policy may be systematically different from non-adopting counties. Finally, equation (1) is estimated using ordinary least squares (OLS). Observations are weighted by the population in each county and year,18As we shall discuss, we also experiment with using the county’s population in the base year—that is, prior to the adoption of any immigration enforcement or sanctuary policy—as an alternative weight as a robustness check. and standard errors are clustered at the county level.
If sanctuary policies reduce domestic homicide—either because victims are reporting domestic violence earlier, before it escalates to homicide; or because offenders are deterred by their victims’ increased willingness to come forward to the police; or because of the economic empowerment of potential victims (Aizer and Dal Bo, 2009)—we would expect . There are, of course, other possibilities. For instance,
if either offenders or victims are not responsive to the policies, in which case sanctuary policies might not prove helpful in preventing domestic violence. This might occur if individuals are not aware of policy changes or if those inclined to be involved in domestic violence are not responsive to the policy. Finally, it could also be the case that
. This could occur, for example, if the offender is an undocumented immigrant who now feels less threatened by deportation.
Robustness Checks
If sanctuary policies are driving the effect on domestic homicides, we should observe a first-order effect among women more likely to be undocumented themselves or more likely to reside in mixed-status households or communities, as would be the case with Hispanic women. Unique impacts among this population would also be suggestive of the observed impacts not being driven by confounding factors unrelated to immigration policy that might be impacting all types of homicides, or domestic violence endured by all victims.19We also consider subgroups for whom the reporting of domestic violence is less likely to be impacted by sanctuary policies as it is typically done by third parties, like teachers, neighbors, and other individuals outside the immediate family (e.g., children). To address this issue, we estimate whether sanctuary policies affect domestic homicides among non-Hispanic white victims and male victims.
We estimate various model specifications as robustness checks. First, we experiment with using an alternative weight—namely, the county’s population in a base year (2003), instead of the population in the respective year. This enables us to account for potential changes in population size associated with the implementation of sanctuary cities. Second, we re-estimate equation (1) using an alternative sample, as is the case with agencies that report at least one homicide every year included in the sample. Because the SHR reports homicides at the incident level, an agency-year cell appears in the dataset if there is at least one homicide. Therefore, it is unclear if a missing agency-year cell corresponds to missing data or to zero homicides. To address this issue, we experiment with restricting the sample to large agencies, which are unlikely to have missing years. We can then assume that missing agency-year data corresponds to zero domestic violence homicides, even though missing agency-years are likely to indicate the lack of homicides since homicides are not likely to go unreported. Finally, we experiment with an alternative specification definition of sanctuary policies that uses the fraction of the year the policy was in place as opposed to as a binary variable.
Threats to Identification
In order for our research design to be valid, we must first evaluate the extent to which some threats to identification could pose a problem. First, we evaluate whether the policies were endogenously implemented by confirming the lack of pre-existing differential trends on domestic homicides across counties with and without sanctuary policies. To that end, we restrict the sample to county-year cells without a sanctuary policy in place. Then, we regress domestic homicide rates on a linear trend and a linear trend interacted with whether the county ever adopts a sanctuary policy. If counties with and without a sanctuary policy share domestic homicide trends, the interaction term should not be statistically different from zero.
Second, we examine whether the adoption timing of a sanctuary policy is dependent on a county’s domestic homicide rate prior to the policy implementation. To do this, we first predict the adoption timing (month, year) of each sanctuary policy based on the rate of domestic homicides with a Hispanic female victim in the base year (2003), along with the remaining covariates included in equation (1), all measured in 2003. In addition, we perform a similar estimation in which we replace the regressors with a 2003 base value with the average for years prior to the implementation of a sanctuary policy. If the adoption of a sanctuary policy is unrelated to prior levels of domestic violence homicides with a Hispanic victim, the coefficient on that regressor should be statistically indistinguishable from zero.
Third, we examine the extent to which Hispanics might be selectively residing in counties that are friendlier to immigrants and more likely to adopt a sanctuary policy. If sanctuary policies attract more Hispanics, homicides with a Hispanic victim should mechanically increase, other things equal. In that case, our estimates would be a lower bound of the total effect as the additional homicides of Hispanics that arises due to more Hispanics in the area partially offsets the decrease in homicide rates. Also, any mechanical effect on overall homicides should affect Hispanic women and men, as well as the overall rate of Hispanic homicides regardless of the relationship of the victim and the offender. The fact that we find an effect only among Hispanic women, and that the impact is negative, supports the notion that the found policy effects are not mechanical. However, we still evaluate if demographic traits of this population (e.g., share of His- panics, white non-Hispanics, and population size) changed upon implementation of a sanctuary policy by re-estimating equation (1) using the share of Hispanics, white non-Hispanics, and the natural logarithm of the population as our dependent variables, as opposed to controls.
Finally, we check the role played by other potentially confounding factors, including changes in local policing. To that end, we re-estimate equation (1) replacing the dependent variable with the natural logarithm of the rate of total officers, male officers and female officers at the county level, respectively. If localities hire more police in anticipation of sanctuary policy implementation, crime and domestic homicide might decrease. Once more, we do not suspect we should be concerned about this possibility, since that would decrease the number of homicides overall, not just domestic violence homicides with a Hispanic victim. Nevertheless, we still evaluate the extent to which sanctuary policies might have altered the size or composition of the local police force.
Heterogeneous Effects and Mechanisms
We next evaluate several heterogeneous impacts of sanctuary policies with the purpose of learning about the potential mechanisms through which the policies appear to be having an effect. To that end, we first examine whether the impacts are larger in counties where immigrants—particularly those who are themselves undocumented or are related to family or friends who lack legal immigration status—might have a greater incentive to avoid interactions with local law enforcement for fear they might be questioned about their legal status or about the status of people they know. Since such an incentive might have been greater in areas with a stringent implementation of interior immigration enforcement initiatives, we distinguish between the impacts of sanctuary policies in areas with greater, as opposed to lower, immigration enforcement. Second, we explore whether the impact of sanctuary policies is larger in counties with more female officers, given prior findings by the literature pointing to the important role of female officers in increasing the reporting of domestic violence (Miller and Segal 2019). Third, we examine whether the effect of sanctuary policies on domestic homicides was any different in areas with a mandated arrest law in place. Iyengar (2007) shows how the certainty of arrest decreases family homicide by 42%. If the main effect of sanctuary policies is to increase police trust, their effectiveness should be lower in counties where a mandated arrest law is in place. Finally, we gauge the extent to which women’s improved economic situation might be contributing to the success of sanctuary policies in decreasing domestic homicides perpetrated against Hispanic women.
To conclude, we also explore if having a greater local Hispanic network affects the extent to which sanctuary policies affect domestic homicides. A priori, it is ambiguous. A larger Hispanic network could help disseminate information about immigration policies and, potentially, increase the effectiveness of the policies. Alternatively, a larger network could serve as a protective factor for offenders or potential victims, inhibiting the effectiveness of the policies. Learning about the differential impact of the policies based on the population composition of the locality is helpful for implementation purposes.
Are Sanctuary Policies Effective at Reducing Domestic Violence Homicides?
Main Findings
Table 2 displays the results from estimating equation (1) for all homicides, as well as for various types of homicides according to the relationship of the victim with the perpetrator: stranger, acquaintance, family member, family member or partner, or family member restricted to the immediate or nuclear family as defined in Iyengar (2007). We perform the analysis separately by gender and ethnicity. Based on the estimates therein, the adoption of sanctuary policies helped reduce domestic homicides perpetrated by family members against female Hispanic victims. The effect of the policies is rather large given the relatively rare occurrence of Hispanic homicides when compared to overall property or violent crimes. In particular, the adoption of sanctuary policies cut Hispanic women’s domestic homicides by approximately 0.012 homicides per 100,000 residents—a 62 percent reduction in the homicide rate from prior to the implementation of the sanctuary policy. If we restrict the attention to domestic homicides perpetrated by members of the nuclear family, the impact is a reduction of 0.008 homicides per 100,000 residents, or 52 percent. While these estimates seem large, they are in line with findings from prior literature on domestic homicides (Iyengar 2007). Policies shaping rather infrequent events, as is the case with domestic homicide, tend to have comparably large effects. Take, for instance, a reduction of domestic homicides with a Hispanic victim from 2 to 1 in a given (county, year), which would imply a 50 percent cut. In this vein, Iyengar (2007) finds that family homicides decreased by 42 percent following the implementation of mandatory arrest laws. Given our narrower focus on domestic homicide with a Hispanic victim, we should expect an even larger effect on the inevitably smaller baseline for this subgroup of domestic homicides.
Importantly, sanctuary policies appear to uniquely alter domestic homicide rates of women, but not those of men; men have much lower probability of being victims of domestic homicide. Similarly, we fail to find an impact of sanctuary policies on other white, but non-Hispanic women. The fact that sanctuary policies only decrease domestic homicide rates among Hispanic women and not among men or non-Hispanic white women serves as a check against the presence of confounding factors responsible for an overall decline in overall homicide or female homicide rates unrelated to the role of sanctuary policies in preventing deathly incidents, per se.
Overall, table 2 indicates that the impact of sanctuary policies is not widespread; rather, it appears to be focused on a group more likely impacted by the recent intensification of immigration enforcement, as would be the case with Hispanics and—given the greater incidence of domestic violence on women— Hispanic women.
Robustness Checks
Thus far, the results in table 2 suggest that the laxer cooperation between local law enforcement agencies and Immigration Customs Enforcement (ICE) embodied in the adoption of sanctuary policies and practices have contributed to a reduction in the domestic homicides involving Hispanic victims, especially women. In this section, we perform a number of robustness and identification checks aimed at assessing the reliability of our findings.
First, we use an alternative specification that incorporates state-by-year fixed-effects, as opposed to state-specific linear trends, to more thoroughly account for potential confounders that could vary across states and on a year-to-year basis, such as changes in public funding, anti-immigrant sentiments, or police funding.20As noted earlier, a shortcoming of including state-by-year fixed effects is that we lose the policy variation when sanctuary policies originate from state-level Trust Acts. Since we still need to account for crime determinants that vary at the state level (e.g., public funding and police funding, among others), the main specification uses a state-specific trend.The results from this exercise are displayed in table C in the appendix. Even though we lose some of the policy variation, we continue to find that the adoption of sanctuary policies cuts down the Hispanic female domestic homicide rate by 73 percent, or by 45 percent if we restrict the focus to homicides committed by members of the nuclear family.21As noted earlier, these effects might seem large due to the low baseline for domestic homicides involving a Hispanic female victim. These impacts are still significant at the 5 percent and 10 percent levels, respectively.
Second, we include treatment-specific time trends identifying localities that ever adopted a sanctuary policy and also obtain similar results. The inclusion of these trends is intended to capture any idiosyncratic differences across counties that ever adopt a sanctuary policy and those that do not. As can be seen in table D in the appendix, our results continue to prove robust to this alternative specification, with the impact of sanctuary policies in curtailing domestic homicide rates among Hispanic women remaining similar in magnitude and statistically significant at the 5 percent level.
Third, we experiment with conducting the analysis using triple differences to more directly compare changes in domestic homicide rates of Hispanic women to those of non-Hispanic women, before versus after the adoption of these policies, in “treated” versus “control” counties. The advantage of this specification is that it relies less on the temporal variation in the implementation of the policy for identification. Again, as shown in table E in the appendix, we find that sanctuary policies continue to decrease domestic homicide rates by an amount similar to the one documented in table 2.
Fourth, focusing on domestic homicides involving Hispanic women, we experiment with changing the sample weight used in the estimation. The estimates in table 2 use the county’s population in the year in question as the weight. To address any concerns regarding the potential endogenous nature of the coun- ty’s population, we replicate the estimation in panel B of table 2 (displayed again at the top of table 3, in panel A, as reference) using instead the county’s population in the base year, 2003. This is a date prior to the adoption of the vast majority of sanctuary policies. The results from this alternative check are displayed in panel B of table 3. The estimated impact of sanctuary policies on the rate of domestic homicides of Hispanic women does not visibly change when we use this alternative weight.
Fifth, focusing on domestic homicides involving Hispanic women, we consider restricting the sample to agencies reporting at least one homicide in each of the 15 years in our sample to avoid making any assumptions regarding any missing homicide figures in a given year in our sample. As can be seen in panel C of table 3, the results prove robust to the use of this somewhat smaller sample.
Sixth, focusing on domestic homicides involving Hispanic women, we experiment with an alternative specification in which the sanctuary policy dummy is replaced by a variable indicative of the fraction of the year during which the policy was in place. As shown by the estimates in panel D of table 3, our results prove largely robust to the use of this alternative sanctuary measure.
Finally, we conduct something akin to a placebo check, similar in spirit to the one conducted using domestic homicides among non-Hispanic white women in panel D of table 2. Specifically, we consider domestic homicides involving children. Even though domestic violence affects both women and children in a household, Iyengar (2007) finds that spouses and minors respond differentially to policies that change the incentive to report domestic violence because child abuse is often reported by teachers and individuals outside the household. If that is the case and the effectiveness of sanctuary policies hinges on the earlier reporting of incidents to the police by Hispanic women, sanctuary policies should prove less effective in combating child abuse and domestic homicides among minors. Indeed, based on the estimates in table 4, sanctuary policies do not seem to have significantly altered children’s homicides by family members, regardless of their ethnicity.22 The policies appear linked to a lower homicide rate of Hispanic minors. If abuse is typically reported by individuals outside the home, the possibility exists that the policies might have removed some barriers to reporting in Hispanic communities, but that individuals reporting the events might not be aware of who the offender was.
Overall, the results in table 3 and appendix tables C, D, and E corroborate the findings from table 2 by showing they prove robust to the use of alternative fixed-effects, weights, agencies, measurement of sanctuary policies, and estimation approach (i.e., triple differences)
Identification Checks
In this section, we conduct several identification checks intended to address concerns regarding the ability to speak about causal impacts of sanctuary policies on domestic homicide rates. First, we address a long-standing concern when gauging the effect of any policy—namely, the possibility that the effects predated the adoption of the policy itself. To assess if this is a valid assumption in our case, we create a time trend, which we interact with a dummy indicative of whether the county is one adopting a sanc- tuary policy during the period under analysis. We then restrict our sample to county-year cells without sanctuary policies; this implies using data periods preceding the adoption of a sanctuary policy in the case of counties that eventually do so, and all periods for counties that never implement a sanctuary policy. If there were pre-existing differential trends in domestic homicide rates across counties that end up adopting a sanctuary policy and counties that do not, the estimated coefficient on the interaction term described above—the so-called SP Ever Trend—should be statistically different from zero. However, as can be seen in table 5, we fail to find evidence of a pre-existing differential trend in domestic homicide rates across the two sets of counties.
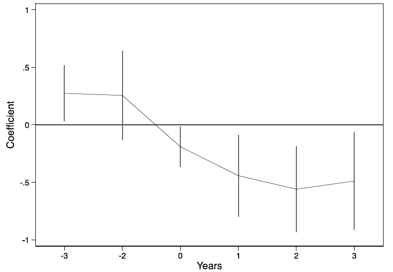
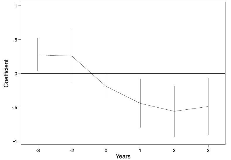
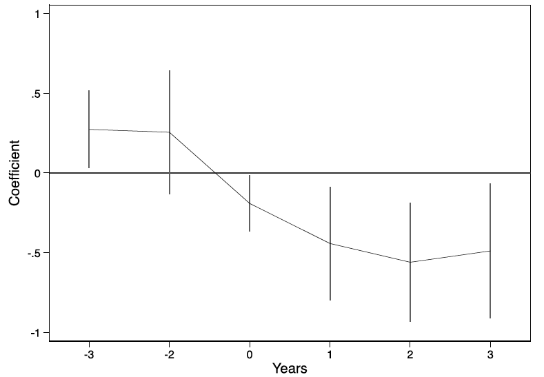
Second, as an additional check for pre-existing differential trends, we conduct an event study exploring the trajectory of domestic homicide rates in counties up to three years before and up to three years after the adoption of a sanctuary policy. The coefficients of interest, which are plotted in figure 3, support the notion of a break in the trend in domestic homicides involving Hispanic female victims following the implementation of a sanctuary policy. In addition, the fact that domestic homicides did not decline during years prior to the adoption of a sanctuary policy further eliminates any concerns regarding the endogenous adoption of the policy in response to pre-existing trends in domestic homicides.
Third, we address the concern regarding the potential endogenous timing of the policy adoption by evaluating the extent to which prior domestic homicide rates are predictive of sanctuary policies’ implementation timing. To gauge if that should be a concern in our case, we conduct two different regressions. The first regression uses data from our base year (2003), excluding from our analysis any counties that might have already adopted a sanctuary policy by 2003. Using that sample, we attempt to predict the adoption timing of sanctuary policies based on county-level traits and domestic homicide rates in 2003. The results, which are displayed in column (1) of table 6, suggest that counties’ Hispanic female homicide rates prior to the adoption of sanctuary policies do not help predict the adoption of such policies. Rather, other county characteristics (e.g. county’s size, share of blacks, share of Hispanics) delay the timing of sanctuary policies, whereas a higher share of minors or of working-age adults speeds it up. As an alternative check, instead of using data from 2003, we experiment with using averages on county traits over the period preceding the adoption of a sanctuary policy when predicting the timing of the policy adoption. As shown in column (2), earlier domestic homicides rates do not help us predict the adoption timing of sanctuary policies, reassuring us about the exogenous nature of the policy adoption with regard to the county’s domestic homicide rate history.
Fourth, we assess the effect of sanctuary policies on the ability of people to vote with their feet, choosing the locality where they wish to live based on the policies in place. To assess if this should be a matter of concern in our case, table 7 first explores the extent to which the adoption of a sanctuary policy helps predict counties’ size and demographic composition, as captured by the share of Hispanics and white non-Hispanics. As can be seen in panel A of table 7, we are unable to establish a statistically significant link between the adoption of a sanctuary policy and county-level size or its Hispanic composition.23Even if sanctuary policies affected choice of residence, it would potentially attract Hispanics. Since an increase in Hispanic residents would mechanically result in an increase in Hispanic homicides even in the absence of any change in behavior, this is not a concern since our findings indicate a decrease in homicides with a Hispanic female victim.
Finally, we also explore the possibility that other confounders, such as changes in local policing, might be driving the results. If the estimated effectiveness of sanctuary policies in lowering domestic homicide rates is confounded by changes in policing—such as more police officers or the use of more female officers, possibly facilitating the reporting of incidents by women—we would expect the two variables (i.e., those referred to the level of policing and the sanctuary policy indicator) to be positively correlated. However, as shown by the estimates in panel B of table 7, we are unable to find empirical evidence of such links when we model the share of officers to residents in the county, or the share of male or female officers to county residents, as a function of whether the county had a sanctuary policy in place.
In sum, the impacts documented in table 2 do not appear to pre-date the implementation of sanctuary policies, do not appear endogenous to our outcome of interest, do not seem to have been the byproduct of selective residential choices made by Hispanics, and they do not appear to be linked to local changes in policing.
Mechanisms and Heterogeneous Impacts
In this section, we gain a better understanding of three potential mechanisms through which sanctuary policies might be lowering domestic homicide rates among Hispanic women: (1) Increased trust in police, which is conducive to early reporting of domestic violence incidents prior to escalation and also conducive to inhibiting potential offenders for fear they might be reported by their victims; (2) labor market effects, which could potentially affect bargaining power in the household; and (3) network effects that arise from exposure to other Hispanics, which could make people better informed about sanctuary policies.
Increased Trust in Local Law Enforcement
While we cannot directly test whether sanctuary policies increased trust in local law enforcement, the following patterns are suggestive that sanctuary policies were more effective in counties that facilitated cooperation with the police. In principle, we would expect Hispanics to mistrust local law enforcement and have lower reporting rates to avoid interaction, particularly in counties with “tougher” immigration enforcement (e.g., where local law enforcement is more likely to cooperate with immigration officials). If sanctuary policies achieve their goal of increasing trust and cooperation of the community with the police, the adoption of a sanctuary policy might have caused prospective offenders to pause, given their victims’ potentially greater likelihood to report the event to the police. It might also have caused victims to report domestic violence incidents before they escalated. This would, in turn, translate into greater policy effectiveness in decreasing domestic homicides in counties that originally had more immigration enforcement.
According to the estimates displayed in panel A of table 8, sanctuary policies seem to have contributed to lowering the rate of domestic homicides involving Hispanic women to a greater extent in counties that were exposed to higher levels of interior immigration enforcement, as captured by an interior immigration enforcement index above the 25th percentile. In particular, following the adoption of a sanctuary policy, the incidence of domestic homicides involving Hispanic female victims dropped by 0.022 homicides per 100,000 residents in counties with a high level of interior immigration enforcement, whereas the reduction averaged 0.01 homicides per 100,000 residents in counties with a lower level of interior immigration enforcement. The average rate of Hispanic women’s domestic homicides in counties with a high level of interior immigration enforcement prior to the adoption of a sanctuary policy was 0.027 per 100,000 residents. In counties with a low level of interior immigration enforcement, that figure was 0.018 per 100,000 residents. As such, sanctuary policies helped reduce the incidence of Hispanic women’s domestic homicide rates by 77 percent in counties with a higher level of immigration enforcement, and by 55 percent in counties with a lower level of immigration enforcement. These differential impact suggests fear of reporting to law enforcement as a potential obstacle addressed by the sanctuary policy. In fact, increased trust in the police might have contributed to lowering other homicide rates as well. In counties with a greater exposure to immigration enforcement, sanctuary policies seem to have contributed to an overall drop of the murder rate by 0.044 homicides per 100,000 residents—a 31 percent decrease relative to its mean in counties with high immigration enforcement prior to the implementation of the sanctuary policy.
A second county trait that can shed some light on the extent to which the adoption of sanctuary policies might have increased police trust and, thereby, helped prevent homicides, is the composition of the county’s law enforcement workforce. Miller and Segal (2019) show that a larger presence of female officers helps with the reporting of crimes. If that is the case, and if sanctuary policies help increase community trust in the police, we should expect to see a greater reduction in domestic homicides in counties with a larger number of female police officers. Panel B in table 8 displays the results from such an exercise. Based on the estimates therein, sanctuary policies appear to be more effective in lowering Hispanic women’s domestic homicide rates in localities with a larger number of female officers. For instance, a 10 percent increase in the number of female officers would reduce Hispanic women’s domestic homicides by 2 percent more in sanctuary counties than in non-sanctuary counties. This finding further hints at the importance of increased trust in the police as a channel for curtailing domestic homicides.
Finally, we also consider examining differential policy responses according to whether the county is already affected by other policies that target domestic violence— particularly, mandated arrest laws. Mandated arrest laws require the police to arrest reported offenders. If sanctuary policies decrease domestic homicides by increasing victims’ trust in the police, we should observe a diminished impact in the presence of a mandated arrest law. To assess if that is the case, we create a dummy indicative of whether the state where the county is located had a mandatory arrest law in the year in question. Then, we interact that dummy with the sanctuary policy dummy. Panel C in table 8 displays the results from such an exercise. As shown therein, the effectiveness of sanctuary policies in reducing domestic homicides among His- panic women effectively dissipates when the state has a mandated arrest law in place, whereas it prevails in sanctuary counties without a mandated arrest law in place. This result further supports the notion that promoting an environment where victims feel safer interacting with the police can prove largely effective in curtailing domestic violence.24A full analysis of the impact of interior immigration enforcement on domestic homicides is beyond the scope of this study. However, we control for its level and display its estimated impact in table 8, which reveals that the estimated impact is not statistically different from zero. The fact that sanctuary and interior immigration enforcement policies do not necessarily have symmetrically opposed impacts on domestic violence homicides is not entirely surprising. First, sanctuary policies are not the exact opposite of interior immigration enforcement policies. For instance, sanctuary policies target the cooperation between local law enforcement and federal immigration authorities, affecting undocumented immigrants who come into direct contact with law enforcement. In contrast, interior immigration enforcement policies are varied and affect more than just undocumented migrants, in a wide variety of life aspects, from job search to seeking healthcare. Second, for the most part, one set of policies preceded the other. The measured impact of interior immigration enforcement only refers to the enforcement most recently put in place. Finally, even if interior immigration enforcement and sanctuary policies implemented and lifted the exact same measures, the impacts of policy implementation and policy removal are not diametrically opposite in practice.
Labor Market Effects and Bargaining Power
We next check on a second channel—namely, the possibility that sanctuary policies improve the labor market opportunities of Hispanic females, particularly those who are immigrants and more likely to be impacted directly or indirectly by sanctuary policies. Financial independence is one of the factors shown to reduce the incidence of domestic violence (Aizer and Dal Bo, 2009). The estimates in table 9 address that possibility. Sanctuary policies appear to have helped reduce Hispanic immigrant women’s propensity to be unemployed by 0.6 percentage points, or 10 percent. These impacts might have strengthened their economic situation and bargaining power, which, in turn, might have helped decrease their exposure to domestic violence. Nevertheless, Hispanic immigrant men seem to have also benefited from these policies, lowering their unemployment rate by 0.6 percentage points and their earnings by 2.1 percent. Thus it is questionable whether sanctuary policies improved the relative bargaining power of women. However, women might have still enjoyed increased financial independence, which could possibly allow them to break away from abusive relationships.
Network Effects
Finally, we explore how the size of the Hispanic community might have contributed to the effectiveness of sanctuary policies. A larger Hispanic network could impact the effectiveness of the policy in several ways. First, it could magnify the effectiveness of the observed policy impacts mechanically (other things being equal, areas with more Hispanics might experience a greater reduction in the incidence of domestic homicides involving that population). Second, the presence of more Hispanics might help disseminate the information regarding sanctuary policies. Greater awareness of the policy could result in a greater impact. Third, while a greater Hispanic network might “protect” potential offenders in the community, it could also protect potential victims by alerting them to dangerous signs and by identifying ways to avoid domestic violence in the first place. Hence, it is unclear if the policies should end up reducing domestic homicides in localities with more Hispanics. To empirically assess if there is a differential impact in communities with more Hispanics, we interact the sanctuary policy dummy with an indicator for whether the share of Hispanics in the county is above the 90th percentile in the base year 2003. Based on the estimates in table 10, the impact of sanctuary policies on domestic homicides does not appear to significantly differ based on the share of Hispanics in the community, suggesting that any mechanical and network effects might be canceling each other out. From a practitioner’s viewpoint, the effectiveness of sanctuary policies is not contingent on the size of the Hispanic community in the county.
Conclusion
We assess if the adoption of a sanctuary policy can help reduce domestic homicide rates among Hispanic women. Hispanic women exhibit among the highest domestic homicide rates but among the lowest rates of domestic violence reporting, due in part to fear of being asked about their immigration status or the status of people they know. Our results suggest that sanctuary policies have contributed to lowering domestic homicides rates among Hispanic women between 52 and 62 percent, depending on the relationship of the victim to the offender. These impacts, which prove robust to several robustness and identification checks, might seem large. However, they are in line with prior literature findings for domestic homicide. For instance, focusing on all domestic homicides, Iyengar (2007) finds that the implementation of mandatory arrest laws increases intimate partner homicides by 54 percent, possibly as reporting decreases. Given our narrower focus on domestic homicides with a Hispanic victim, baselines should be lower and, therefore, the impacts larger. Finally, the effects are unique to Hispanic women, suggesting the impacts are not driven by potential confounders affecting all homicide rates or other groups, such as non-Hispanic white women or minors, for whom fear of deportation is not a likely factor.
It is also worth noting that the effects are exclusively observed in areas where interior immigration enforcement is rather intense—possibly areas where Hispanic victims were most afraid to contact the police for fear of deportation. This suggests that increased trust in police might be a key factor in reducing domestic violence. This hypothesis is further strengthened by the fact that the effectiveness is greater when more female police officers are present, further reinforcing the importance of community trust in law enforcement. Similarly, the impacts dissipate in the presence of mandatory arrest laws, suggesting that the increased trust placed in the police through a sanctuary policy may be less beneficial in counties that already have laws to address domestic violence. In addition, sanctuary policies might have marginally contributed to the financial independence of Hispanic women, helping some of them to come out of the shadows and, possibly, lower their propensity to be victims of domestic homicides.
In sum, sanctuary policies appear effective in offering Hispanic women a true sanctuary against domestic violence. Further research gauging other impacts of the policies is warranted.
Appendix
Table 1. Sample Descriptive Statistics
Table 2. The Effect of Sanctuary Policies (SP) on Homicide Rates by Gender

Table 3. Robustness Checks: The Effect of Sanctuary Policies on the Hispanic Female Homicide Rate
Notes: “Partner” refers to any of the following, irrespective of whether the relationship is hetero or homosexual: boy/girlfriend, common-law husband/ wife, ex-husband/wife, or husband/wife. “Family” refers to any of the following: brother/sister, daughter/son, father/mother, step-siblings/ parents, in-laws, and other family members. “Fam/Part” includes the two prior categories. Finally, the “Restricted Family” category uses Iyengar’s (2007) family definition, which excludes other family members from the family category described before. All regressions include a constant term, as we as county and year fixed-effects, and a state-specific time trend. Estimates are weighted by the size of the county, and standard errors are clustered at the county level. The symbols *** indicate significance at the 1 percent level, the symbols ** indicate significance at the 5 percent level, and the symbol * indicates significance at the 10 percent level. Means reported correspond to county-year cells prior to the implementation of sanctuary policies.
Table 4. The Effect of Sanctuary Policies on the Homicide Rate of Minors
Notes: “Family” refers to any of the following: brother/sister, daughter/son, father/mother, step siblings/parents, in-laws, and other family members. The “Restricted Family” category uses Iyengar’s (2007) family definition, which excludes other family members from the family category described before. All regressions include a constant term, as we as county and year fixed-effects, and a state-specific time trend. Estimates are weighted by the size of the county, and standard errors are clustered at the county level. The symbols *** indicate significance at the 1 percent level, the symbols ** indicate significance at the 5 percent level, and the symbol * indicates significance at the 10 percent level. Means reported correspond to county-year cells prior to the implementation of sanctuary policies.
Table 5. Identification Check 1: Assessing Differential Pre-trends
Notes: “Family” refers to any of the following: brother/sister, daughter/son, father/mother, step siblings/parents, in-laws, and other family members. The “Restricted Family” category uses Iyengar’s (2007) family definition, which excludes other family members from the family category described before. All regressions include a constant term, as we as county and year fixed-effects, and a state-specific time trend. Estimates are weighted by the size of the county, and standard errors are clustered at the county level. The symbols *** indicate significance at the 1 percent level, the symbols ** indicate significance at the 5 percent level, and the symbol * indicates significance at the 10 percent level. Means reported correspond to county-year cells prior to the implementation of sanctuary policies.
Table 6. Identification Check 2: Predicting Sanctuary Policy Adoption
Notes: The first column uses data on all non-sanctuary counties in 2003. All regressors refer to 2003 as well, and the model is trying to predict the later adoption date, if any, of a sanctuary policy. In column 2, we use the same number of counties as in column 1; however, the regressors refer to the average value of the county’s traits over the entire period we observe the county prior to the adoption of a sanctuary policy, if the latter was ever adopted. Both regressions contain a constant term and state fixed-effects. The symbols *** indicate significance at the 1 percent level, the symbols ** indicate significance at the 5 percent level, and the symbol * indicates significance at the 10 percent level.
Table 7. Identification Checks 3: Potential Confounders
Notes: All regressions include a constant term, as we as county and year fixed-effects, and a state-specific time trend. Estimates are weighted by the size of the county, and standard errors are clustered at the county level. The symbols *** indicate significance at the 1 percent level, the symbols ** indicate significance at the 5 percent level, and the symbol * indicates significance at the 10 percent level.
Table 8. Mechanism 1: Increased Trust in the Police
Notes: “Partner” refers to any of the following, irrespective of whether the relationship is hetero or homosexual: boy/girlfriend, common-law husband/ wife, ex-husband/wife, or husband/wife. “Family” refers to any of the following: brother/sister, daughter/son, father/mother, step-siblings/ parents, in-laws, and other family members. “Fam/Part” includes the two prior categories. Finally, the “Restricted Family” category uses Iyengar’s (2007) family definition, which excludes other family members from the family category described before. All regressions include a constant term, as we as county and year fixed-effects, and a state-specific time trend. Estimates are weighted by the size of the county, and standard errors are clustered at the county level. “Low IE” stands for a level of interior immigration enforcement below the 25th percentile, whereas “High IE” stands for a level above the 25th percentile. The symbols *** indicate significance at the 1 percent level, the symbols ** indicate significance at the 5 percent level, and the symbol * indicates significance at the 10 percent level. Means reported correspond to county-year cells prior to the implementation of sanctuary policies.
Table 9. Mechanism 2: Improvements in Socioeconomic Conditions of Hispanic Immigrants
Notes: “Partner” refers to any of the following, irrespective of whether the relationship is hetero or homosexual: boy/girlfriend, common-law husband/ wife, ex-husband/wife, or husband/wife. “Family” refers to any of the following: brother/sister, daughter/son, father/mother, step-siblings/ parents, in-laws, and other family members. “Fam/Part” includes the two prior categories. Finally, the “Restricted Family” category uses Iyengar’s (2007) family definition, which excludes other family members from the family category described before. All regressions include a constant term, as we as county and year fixed-effects, and a state-specific time trend. Estimates are weighted by the size of the county, and standard errors are clustered at the county level. “Highly Hispanic” means the county is one with a share of Hispanics above the 90th percentile in a base year (2003). The symbols *** indicate significance at the 1 percent level, the symbols ** indicate significance at the 5 percent level, and the symbol * indicates significance at the 10 percent level. Means reported correspond to county-year cells prior to the implementation of sanctuary policies.
Figure 1. Number of Counties Adopting a Sanctuary Policy by Year
Source: Griffith, Bryan and Jessica M. Vaughan. 2020. “Map: Sanctuary Cities, Counties, and States” at: https://cis.org/Map-Sanctuary-Cities-Counties-and-States. Last accessed on April 3, 2020.
Figure 2. Rollout of Sanctuary Policies in the U.S. in 2003, 2014 and 2017
Source: Griffith, Bryan and Jessica M. Vaughan. 2020. “Map: Sanctuary Cities, Counties, and States” at: https://cis.org/Map-Sanctuary-Cities-Counties-and-States. Last accessed on April 3, 2020.
Figure 3. Event Study
Notes: The dependent variable is the natural logarithm of the counts of domestic homicides with a Hispanic female victim per 100,000 residents. The event study has a constant term, as well as county and year fixed-effects. Estimates are weighted by the size of the county, and standard errors are clustered at the county level. Coefficient corresponding to a year prior to implementation (-1) is omitted since the event study considers it the omitted category.
Data Appendix
Interior Immigration Enforcement
The past two decades have witnessed an impressive expansion of interior immigration enforcement. The increase in the intensity of interior immigration enforcement has been made evident by the greater participation of local and state governments in a number of immigration enforcement initiatives and programs, all of which are schematically summarized in table A in this appendix. For instance, E-Verify is a free internet-based system provided by the United States government that allows employers to determine the employment eligibility of new hires. Bohn et al. (2014) document that the 2007 Legal Arizona Workers Acts (LAWA)—which mandated for the first time that all Arizona employers use E-Verify—reduced the employment of likely unauthorized immigrants. Amuedo-Dorantes and Bansak (2012, 2014) confirm those findings looking across all states. In the process of evading state mandates or employers who have adopted E-Verify, greater emotional and financial stress is likely to be placed on unauthorized immigrants and their families.
In addition to E-verify, programs such as 287(g) and Secure Communities strengthened the partnership between federal immigration authorities and state and local police, further intensifying interior immigration enforcement. The US government’s 287(g) program allowed state and local law enforcement to establish a partnership with the federal government under joint memorandum of agreements, in which state and local law enforcement would receive federal authority for immigration enforcement within their jurisdictions. Between 2006 and 2010, the budget for 287(g) increased from $5 million to $68 million, with over 1,500 state and local law enforcement officers trained and granted authorization to enforce federal immigration laws (Nyugen and Gill 2015). However, by 2008, ICE debated whether to continue renewing 287(g) agreements and Secure Communities was introduced.
Secure Communities is an information-sharing program used in the apprehension and deportation of unauthorized immigrants. Under the program, local law enforcement agencies can submit information from arrests, such as fingerprints, to an integrated database with ICE that allows for the identification of the immigration status and criminal activity of any individual. In the latter case, ICE requests that local authorities hold certain individuals for deportation. Secure Communities has been criticized for aiding in the deportation of immigrants with no criminal records, creating a strong fear of law enforcement officials among immigrants, and pushing unauthorized migrants and their families into the shadows (e.g., Nguyen and Gill 2015; Preston 2011).
Finally, a number of state-level omnibus immigration laws further contributed to the intensification of interior immigration enforcement. According to the National Conference of State Legislators, five states adopted laws similar to Arizona’s SB 1070 in 2011 (Alabama, Georgia, Indiana, South Carolina, and Utah). One year later, five additional states introduced immigration enforcement legislation (Kansas, Mississippi, Missouri, Rhode Island, and West Virginia) (Morse et al. 2013). Amuedo-Dorantes and Pozo (2014) document how apprehension in a state with an omnibus immigration law is more likely to lead to family separation, as well as how the incidence of physical and verbal abuse toward unauthorized migrants increases with the number of states enacting such laws.
Because domestic homicides are not likely to respond to one single immigration enforcement initiative but, rather, to the environment created by the various measures described above, we construct an index intended to proxy for the intensity of interior immigration enforcement in any given county. To that end we collected historical data on the various initiatives, which are detailed in table B in this appendix.
Specifically, data on 287(g) agreements at the county and state levels are gathered from various years of the ICE’s 287(g) Fact Sheet websites (U.S. Immigration and Customs Enforcement, 287(g) Fact Sheet). Data on the rolling of the Secure Communities program at the county level are compiled from ICE’s releases on activated jurisdictions (U.S. Immigration and Customs Enforcement, 2013). Once it reached nationwide coverage, Secure Communities was replaced by the Priority Enforcement Program in 2015, although Secure Communities was reinstated by President Donald Trump in February 2017. Finally, data on state-level employment verification mandates and omnibus immigration laws are gathered from the National Conference of State Legislatures (Soria Mendoza, 2015; Morse et al. 2011).
In addition to serving as a proxy for the immigration enforcement environment in any given county, the index offers an important advantage: namely, the ability to better capture the interconnectedness of immigration enforcement—a system administered by various federal, state, and local authorities and agencies with similar missions and implementing a continuum of like policing measures. By combining the various policies into one index, we are able to work with a more manageable and comprehensive measure of interior immigration enforcement that addresses the fact that many of these policies are also highly correlated. The index is constructed by adding the dichotomous variables for the various enforcement initiatives in place in a given county
and year
as follows: 25 Where
refers to each policy, namely: 287(g) local agreements, 287(g) state agreements, Secure Communities, Omnibus Immigration Laws, and E-Verify mandates.
where is an indicator function that informs about the implementation of a particular policy in county
during year
.26We recognize that the index is simply a proxy of the intensity of immigration enforcement to which respondents in a particular county might be The true intensity of any enforcement measure will inevitably vary across jurisdictions, since like measures might be implemented more or less strictly depending on who is in charge of its implementation and other unobserved local traits. To address that limitation, we include county fixed-effects to help capture such idiosyncrasies. In addition, we experiment with using simple dichotomous indicators of whether the intensity if enforcement is relatively high or low. Results prove robust to the use of different controls for interior immigration enforcement. Figure A below shows the number of counties with a positive immigration enforcement index in any given year, as well as the number with an above median index—counties we will later classify as having a higher intensity of interior immigration enforcement. The graph underscores how interior immigration enforcement took off after 2006, following the rolling adoption of 287(g) agreements and, later on, Secure Communities, which reached nationwide coverage by 2012. Overall, over the period under examination, the index, which ranged from 0 to 5 for each of the enforcement initiatives considered, averaged 0.70 (see table A in the appendix).
Table A. Summary Statistics of Covariates
Note: The covariates are at the county-year level, except for total officers, which is at the state-year level, since officers at the county level has too many missing observations, especially when we do it by gender.
Table B. Description of Enforcement Laws
Table C. The Effect of Sanctuary Policies on the Hispanic Female Homicide Rate using State-by-Year Fixed
Notes: “Partner” refers to any of the following, irrespective of whether the relationship is hetero or homosexual: boy/girlfriend, common-law husband/ wife, ex-husband/wife, or husband/wife. “Family” refers to any of the following: brother/sister, daughter/son, father/mother, step-siblings/ parents, in-laws, and other family members. “Fam/Part” includes the two prior categories. Finally, the “Restricted Family” category uses Iyengar’s (2007) family definition, which excludes other family members from the family category described before. All regressions include a constant term, as we as county and year fixed-effects, and a state-specific time trend. Estimates are weighted by the size of the county, and standard errors are clustered at the county level. The symbols *** indicate significance at the 1 percent level, the symbols ** indicate significance at the 5 percent level, and the symbol * indicates significance at the 10 percent level. Means reported correspond to county-year cells prior to the implementation of sanctuary policies.
Table D. The Effect of Sanctuary Policies on the Hispanic Female Homicide Rate using a Treatment Trend
Notes: “Partner” refers to any of the following, irrespective of whether the relationship is hetero or homosexual: boy/girlfriend, common-law husband/ wife, ex-husband/wife, or husband/wife. “Family” refers to any of the following: brother/sister, daughter/son, father/mother, step-siblings/ parents, in-laws, and other family members. “Fam/Part” includes the two prior categories. Finally, the “Restricted Family” category uses Iyengar’s (2007) family definition, which excludes other family members from the family category described before. All regressions include a constant term, as we as county and year fixed-effects, and a state-specific time trend. Estimates are weighted by the size of the county, and standard errors are clustered at the county level. The symbols *** indicate significance at the 1 percent level, the symbols ** indicate significance at the 5 percent level, and the symbol * indicates significance at the 10 percent level. Means reported correspond to county-year cells prior to the implementation of sanctuary policies.
Table E. The Effect of Sanctuary Policies on the Hispanic Female Homicide Rate using Triple Differences
Notes: “Partner” refers to any of the following, irrespective of whether the relationship is hetero or homosexual: boy/girlfriend, common-law husband/ wife, ex-husband/wife, or husband/wife. “Family” refers to any of the following: brother/sister, daughter/son, father/mother, step-siblings/ parents, in-laws, and other family members. “Fam/Part” includes the two prior categories. Finally, the “Restricted Family” category uses Iyengar’s (2007) family definition, which excludes other family members from the family category described before. All regressions include a constant term, as we as county and year fixed-effects, and a state-specific time trend. Estimates are weighted by the size of the county, and standard errors are clustered at the county level. The symbols *** indicate significance at the 1 percent level, the symbols ** indicate significance at the 5 percent level, and the symbol * indicates significance at the 10 percent level. Means reported correspond to county-year cells prior to the implementation of sanctuary policies.
Figure A. Number of Counties with Interior Immigration Enforcement Policies by Year
Notes: “Any IE” equals 1 when the interior immigration enforcement is positive, whereas “High IE” equals 1 when the interior immigration enforcement index is above the 25th percentile. A detailed description of the construction of the immigration enforcement index (IE) and the various sources used can be found in the Data Appendix.
References
Aizer, Anna. 2010. “The Gender Wage Gap and Domestic Violence.” American Economic Review 100 (September): 1847–59.
Aizer, Anna and Pedro Dal Bo (2009) “Love, Hate and Murder: Commitment Devices in Violent Relationships.” Journal of Public Economics 93(3). 412-428
American Immigration Council. 2017. “Sanctuary Policies. An Overview” February. Available at: https://www.americanimmigrationcouncil.org/sites/default/files/research/sanctuary_policies_an_overview.pdf. Last accessed on April 1, 2020.
American Psychological Association. “Intimate Partner Violence. Facts & Resources.” Available at: https://www.apa.org/topics/violence/partner. Last accessed on April 1, 2020.
Amuedo-Dorantes, Catalina, and Esther Arenas-Arroyo. 2018. “Split Families and the Future of Children: Immigration Enforcement and Foster Care Placements.” American Economic Review: Papers & Proceedings 108:368–72.
———. 2019. “Police Trust and Domestic Violence: Evidence from Immigration Policies.” IZA Discussion Paper No. 12721, Institute of Labor Economics, Bonn, Germany.
———. Forthcoming. “Immigration Enforcement and Children’s Living Arrangements.” Journal of Policy Analysis and Management.
Amuedo-Dorantes, Catalina, Esther Arenas-Arroyo, and Almudena Sevilla. 2018. “Immigration Enforcement and Economic Resources of Children with Likely Unauthorized Parents.” Journal of Public Economics 158:63–78.
Amuedo-Dorantes, Catalina, and Cynthia Bansak. 2012. “The Labor Market Impact of Mandated Employment Verification Systems.” American Economic Review: Papers & Proceedings 103:543–8.
———. 2014. “Employment Verification Mandates and the Labor Market Outcomes of Likely Unauthorized and Native Workers.” Contemporary Economic Policy 32:671–80.
Amuedo-Dorantes, Catalina, and Mary Lopez. 2017. “The Hidden Educational Costs of Intensified Immigration Enforcement.” Southern Economic Journal 84 (1): 120–54.
Amuedo-Dorantes, Catalina, and Susan Pozo. 2014. “On the Intended and Unintended Consequences of Enhanced Border and Interior Immigration Enforcement: Evidence from Deportees.” Demography 51:2255–79.
Bartel, Ann P. 1989. “Where Do the New US Immigrants Live?” Journal of Labor Economics 7 (4): 371–91. Bartik, Timothy J. 1991. Who Benefits from State and Local Economic Development Policies? Kalamazoo, MI: W.E. Upjohn Institute for Employment Research.
Benner, Katie, and Caitlin Dickerson. 2018. “Sessions Says Domestic and Gang Violence Not Grounds for Asylum.” New York Times. June 11, 2018.
Bohn, Sarah, Magnus Lofstrom, and Steven Raphael. 2014. “Did the 2007 Legal Arizona Workers Act Reduce the State’s Unauthorized Immigrants?” Review of Economics and Statistics 96 (2): 258–69.
Bondurant, Samuel, Jason Lindo, and Isaac Swensen. 2018. “Substance Abuse Treatment Centers and Local Crime.” Journal of Urban Economics 104:124–33.
Bratton, William J. 2009. “The LAPD Fights Crime, Not Illegal Immigration,” LA Times, October 27, 2009. Available online at: http://articles.latimes.com/2009/oct/27/opinion/oe-bratton27. Last accessed on April 1, 2020.
Breidling, Matthew J., Sharon G. Smith, Kathleen C. Basile, Mikel L. Walters, Jieru Chen, and Melissa Merrick. 2014. “Prevalence and Characteristics of Sexual Violence, Stalking, and Intimate Partner Violence Victimization—National Intimate Partner and Sexual Violence Survey.” Centers for Disease Control and Prevention 63, no. SS08 (September): 1–18.
Caetano, Raul, John Schafer, Craig Field, Scott M. Nelson. 2002. “Agreement on Reports of Intimate Partner Violence Among White, Black, and Hispanic Couples in the United States.” Journal of Interpersonal Violence, 17(2): 1308-1322.
Card, David. 2001. “Immigrant Inflows, Native Outflows, and the Local Labor Market Impacts of Higher Immigration.” Journal of Labor Economics 19 (1): 22–64.
Chalfin, Aaron, and Justin McCrary. 2018. “Are US Cities Underpoliced? Theory and Evidence. “ Review of Economics and Statistics 100, no. 1 (March): 167–86.
Comino, Stefano, Giovanni Mastrobuoni, and Antonio Nicolò. 2016. “Silence of the Innocents: Illegal Immigrants’ Underreporting of Crime and their Victimization.” IZA Discussion Paper 10306, Institute of Labor Economics, Bonn, Germany.
Cortes, Patricia, and Jose Tessada. 2011. “Low-Skilled Immigration and the Labor Supply of Highly Skilled Women.” American Economic Journal: Applied Economics 3 ( July): 88–123.
Decimos No Más Network. 2015. “The NO MÁS Study: Domestic Violence and Sexual Assault in the Latin@ Community.” Commissioned report for Casa de Esperanza and NO MORE, November 16, 2015.
Federation for American Immigration Reform. 2018. State Sanctuary Policies. Sanctuary Jurisdictions Nearly Double Since President Trump Promised to Enforce Our Immigration Laws. A report by FAIR’s State and Local Team. Available at: https://www.fairus.org/issue/publications-resources/state-sanctuary-policies. Last accessed on April 4, 2020.
Frieze, Irene H., and A. Browne. 1989. “Violence in Marriage.” In Family Violence, edited by L. E. Ohlin and M. H. Tonry. Chicago, IL: University of Chicago Press.
Gonzalez-O’Brien, Benjamin, Loren Collingwood, and Stephen Omar El-Khatib. 2017. “The Politics of Refuge: Sanctuary Cities, Crime, and Undocumented Immigration.” Urban Affairs Review 55 (1): 3–40.
Graber, Lena, and Nikki Marquez. 2016. “Searching for Sanctuary: An Analysis of America’s Counties and Their Voluntary Assistance with Deportations.” Immigrant Legal Resource Center, San Fran- cisco, CA, December 2016. https://www.ilrc.org/sites/default/files/resources/sanctuary_report_final_1-min.pdf.
Griffith, Bryan and Jessica Vaughan (2020) “Map: Sanctuary Cities, Counties, and States” Accessed April 3, 2020. Available at: https://cis.org/Map-Sanctuary-Cities-Counties-and-States.
Iyengar, Radha. 2007. “Does the Certainty of Arrest Reduce Domestic Violence? Evidence from Mandatory and Recommended Arrest Laws.” NBER Working Paper No. 13186, National Bureau of Economic Research, Cambridge, MA.
Jacome, Elisa. 2018. “The Effect of Immigration Enforcement on Crime Reporting: Evidence from the Priority Enforcement Program.” Working paper, October 8, 2018. https://ssrn.com/abstract=3263086.
Kasturirangan, Aarati, Sandhya Krishnan, and Stephanie Riger. 2004. “The Impact of Culture and Minority Status on Women’s Experience of Domestic Violence.” Trauma, Violence and Abuse 5 (4): 318–32.
Kwak, Hyounggon, Rick Dierenfeldt, and Susan McNeeley. 2019. “The Code of the Street and Cooperation with the Police: Do Codes of Violence, Procedural Injustice, and Police Ineffectiveness Discour- age Reporting Violent Victimization to the Police?” Journal of Criminal Justice 60:25–34.
Lopez, Mark Hugo, Ana Gonzalez-Barrera, and Jens Manuel Krogstad. 2018. “Views of Immigration Policy.” Pew Research Center. October 25, 2018. https://www.pewresearch.org/hispanic/2018/10/25/views-of-immigration-policy/.
Maltz, M. D. 1999. “Bridging Gaps in Police Crime Data. Report No. NCJ-1176365.” Bureau of Justice Statistics, Office of Justice Programs, US Department of Justice, September, 1999.”
McLean, Gladys and Sarah Gonzalez Bocinski. 2017. “The Economic Cost of Intimate Partner Vio- lence, Sexual Assault, and Stalking.” Fact Sheet IWPR #B367. Institute for Women’s Policy Research, Fact Sheet, #B367. Available at: https://iwpr.org/publications/economic-cost-intimate-partner-violence-sexual-stalking. Last accessed on April 1, 2020.
Menjivar, Cecilia, and Cynthia L. Bejarano. 2004. “Latino Immigrants’ Perception of Crime and Police Authorities in the United States: A Case Study from the Phoenix Metropolitan Area.” Ethnic and Racial Studies 27 (1): 120–48.
Miller, Amalia R., and Carmit Segal. 2019. “Do Female Officers Improve Law Enforcement Quality? Effects on Crime Reporting and Domestic Violence Escalation.” Review of Economic Studies 86 (5): 2220–47.
Morse, Ann, Allison Johnston, Hillary Heisel, April Carter, Marie Lawrence and Joy Segrento. 2011. State Omnibus Bills and Laws, January 1 – June 30, 2011. National Conference of State Legislatures. Available at: http://www.ncsl.org/documents/statefed/omnibus_laws.pdf. Last accessed on April 4, 2020.
Morse, Anne, Gilberto Soria Mendoza, Chau Wing Lam and Emily German. 2013. 2013 Immigration Report. National Conference of State Legislatures. Available at: http://www.ncsl.org/research/immigration/2013-immigration-report.aspx. Last accessed April 3, 2020
Mowder, Denise, Faith Lutze, and Hyon Namgung. 2018. “Ayúdame! Who can help me? The Help-Seeking Decisions of Battered Undocumented Latinas.” Journal of Ethnicity in Criminal Justice 16 (3): 205–24.
Muchow, Ashley N., and Catalina Amuedo-Dorantes. 2020. “Immigration Enforcement Awareness and Community Engagement with Police: Evidence from Domestic Violence Calls in Los Angeles.” Journal of Urban Economics 117, Published ahead of print, March 18, 2020. https://doi.org/10.1016/j.jue.2020.103253.
National Latin@ Network. 2013. “Realidades Latinas: A National Survey on the Impact of Immigration and Language Access on Latina Survivors.” Research Report 2013.4, National Latin@ Network, St. Paul, MN, April 2013.
National Latin@ Network. “References.” Available at: http://www.nationallatinonetwork.org/learn-more/facts-and-statistics/references. Last accessed on April 1, 2020.
National Coalition Against Domestic Violence. “Statistics”. Available at: www.ncadv.org/statistics. Last accessed on April 1, 2020.
Nelson, Heidi D., Christina Bougatsos, and Ian Blazina. 2012. “Screening Women for Intimate Partner Violence: A Systematic Review to Update the US Preventive Services Task Force Recommendation.” Annals of Internal Medicine 156, no. 11 ( June): 796–808.
Nguyen, Mai Thi, and Hannah Gill. 2015. “Interior Immigration Enforcement: The Impacts of Expanding Local Law Enforcement Authority.” Urban Studies 53 (2): 302–23.
Nittle, Nadra Kareem. 2018. “Racial Profiling and Police Brutality Against Hispanics.” ThoughtCo. February 20, 2018. https://www.thoughtco.com/racial-profiling-police-brutality-against-hispanics-2834820.
O’Hara, Mary Emily. 2017. “Domestic Violence: Nearly Three U.S. Women Killed Every Day by Intimate Partners” NBC News. April 11, 2017. Available at: https://www.nbcnews.com/news/us-news/domestic-violence-nearly-three-u-s-women-killed-every-day-n745166. Last accessed on April 1, 2020.
Orloff, Leslye E., Deeana Jang, and Catherine F. Klein. 1995. “With No Place to Turn: Improving Legal Advocacy for Battered Immigrant Women.” Family Law Quarterly 29, no. 2 (Summer): 313–29.
Passel, Jeffrey S. 2006. “Size and Characteristics of the Unauthorized Migrant Population in the US.” Pew Research Center. March 7, 2006. http://www.pewhispanic.org/2006/03/07/size-and-characteristics-of-the-unauthorized-migrant-population-in-the-us/.
Preston, Julia. 2011. “Immigration Crackdown Also Snares Americans.” New York Times, December 13, 2011.
Raj, Anita, Rosalyn Liu, Jennifer McCleary-Sills, and Jay G. Silverman. 2005. “South Asian Victims of Intimate Partner Violence More Likely than Non-Victims to Report Sexual Health Concerns.” Journal of Immigrant Health 7 (2): 85–91.
Federation for American Immigration Reform (2020). “California `Sanctuary State’ Bill (SB 54) Summary and History.” Retrieved from https://www.fairus.org/legislation/state-local-legislation/california-sanctuary-state-bill-sb-54-summary-and-history.
Reina, Angelica S., Brenda J. Lohman, and Marta M. Maldonado. 2014. “‘He Said They’d Deport Me’: Factors Influencing Domestic Violence Help-Seeking Practices among Latina Immigrants.” Journal of Interpersonal Violence 29 (4): 593–615.
Sabina, Chiara, Carlos A. Cuevas, and Jennifer L. Schally. 2013. “The Effect of Immigration and Acculturation on Victimization among a National Sample of Latino Women.” Cultural Diversity & Ethnic Minority Psychology 19 (1): 13–26.
Soria Mendoza, Gilberto. 2015. State E-Verify Action. National Conference of State Legislatures. Available at: https://www.ncsl.org/research/immigration/state-e-verify-action.aspx. Last accessed on April 4, 2020.
Stock, James, and Motohiro Yogo. 2005. “Testing for Weak Instruments in Linear IV Regression.” In Identification and Inference for Econometric Models: Essays in Honor of Thomas Rothenberg, edited by Donald W. K. Andrews and James. H. Stock. 80–105. Cambridge: Cambridge University Press.
Swensen, Isaac. 2015. “Substance Abuse Treatment and Mortality.” Journal of Public Economics 122:13–30. Theodore, Nik. 2013. “Insecure Communities: Latino Perceptions of Police Involvement in Immigration Enforcement.” Department of Urban Planning and Policy, University of Illinois, Chicago.
Tjaden, Patricia, and Nancy Thoennes. 2000. “Extent, Nature, and Consequences of Intimate Partner Violence.” NCJ report no. 181867, National Institute of Justice, Washington, DC.
Tramonte, Lynn. 2011. Debunking the myth of “sanctuary policies”: Community policing policies protect American communities. Special Report. Immigration Policy Center. American Immigration Council.
Truman, Jennifer L., and Rachel E. Morgan. 2014. “Nonfatal Domestic Violence, 2003–2012.” Special Report NCJ 244697, Bureau of Justice Statistics, Washington, DC.
United States Department of Justice (2017). Federal Bureau of Investigation. Uniform Crime Reporting Program Data: Supplementary Homicide Reports. Ann Arbor, MI: Inter-university Consortium for Political and Social Research [distributor], 2017-05-04. https://doi.org/10.3886/ICPSR36790.v1.
United States. Federal Bureau of Investigation. Uniform Crime Reporting Program Data: Police Employee (LEOKA) Data, United States, 2016. Ann Arbor, MI: Inter-university Consortium for Political and Social Research [distributor], 2018-06-29. https://doi.org/10.3886/ICPSR37062.v1.
U.S. Immigration and Customs Enforcement. 287(g) Fact Sheet. Delegation of Immigration Authority Section 287(g) Immigration and Nationality Act. Available at: https://www.ice.gov/287g. Last accessed on April 4, 2020.
U.S. Immigration and Customs Enforcement. 2013. Activated Jurisdictions. Secure Communities. Vaughan, Jessica M. 2013. “Deportation Numbers Unwrapped: Raw Statistics Reveal the Real Story of ICE Enforcement in Decline.” Backgrounder Report, Center for Immigration Studies, Washington, DC, October 30, 2013.
Wong, Tom K. 2017. “The Effects of Sanctuary Policies on Crime and the Economy.” Working paper, Center for American Progress and National Immigration Law Center, Washington, DC.
Zadnik, Elizabeth, Chiara Sabina, and Carlos A. Cuevas. 2016. “Violence against Latinas: The Effects of Undocumented Status on Rates of Victimization and Help-Seeking.” Journal of Interpersonal Violence 31 (6): 1141–53.
Zezima, Katie, Deanna Paul, Steven Rich, Julie Tate and. 2018. “Domestic slayings: Brutal and foreseeable” The Washington Post, December 9. Available at: https://www.washingtonpost.com/graphics/2018investigations/domestic-violence-murders/. Last accessed on April 1, 2020.



Immigration Impact
Inside Sources
Foundation for Economic Education
Policy Commons















