Introduction
Naturalization is the cornerstone of immigrant assimilation and provides several economic and political benefits.1Naturalization is defined as the acquisition of US citizenship by a foreign citizen or national after fulfilling the requirements established by Congress in the Immigration and Nationality Act (INA). Naturalized immigrants can obtain access to government benefits and jobs requiring citizenship, sponsor immediate relatives for visas, participate in the formal electoral process, and are guaranteed the right to remain permanently in the United States protected from deportation. The University of Southern California’s Center for the Study of Immigrant Integration (CSII) has estimated that 8.5 million immigrants are currently eligible to naturalize.2 See the CCIS Interactive Map on the Eligible to Naturalize Population In the U.S. at https://dornsife.usc.edu/csii/eligible-to-naturalize-map/. Yet in the past eight years, only an average of 716,457 immigrants have become naturalized citizens annually (USCIS 2017). While the literature has emphasized the importance of personal characteristics, country of origin traits, and host country circumstances in influencing the costs and benefits associated with naturalization (Chiswick and Miller 2008), institutional factors, such as immigration policies can also play a role (e.g., Jones-Correa 2001; Bloemraad 2002). Our aim is to gauge how one example of such policies—namely, the formidable expansion of interior immigration enforcement—is affecting naturalization patterns by altering the costs and benefits associated with naturalization.
Institutional policies that support the integration and naturalization of migrants should unambiguously lower the costs and increase the benefits of naturalization, thereby raising naturalization rates (Jones-Correa 2001; Bloemraad 2002). In contrast, policies that potentially interfere with immigrants’ assimilation, such as intensified interior immigration enforcement, can raise the cost of naturalization. In particular, intensified enforcement can make some immigrants feel unwelcomed in the host country, raising the perceived cost of giving up their national identity and citizenship in their country of origin to acquire citizenship in the United States. Others might be fearful of revealing information about themselves and their families in their naturalization applications to US immigration agencies. Either way, these migrants might postpone naturalization or forego it altogether. That said, intensified enforcement can also create a sense of uncertainty about the future, with the possibility that the legal environment might become more restrictive for noncitizens. This might compel other migrants to naturalize as quickly as possible. As such, how naturalization patterns respond to the interior immigration enforcement climate remains an empirical question.
Between 2003 and 2016, funding for the Immigration and Customs Enforcement (ICE) agency—the federal agency responsible for interior immigration enforcement—increased by approximately 130 percent (DHS 2019). Not surprisingly, interior removals by ICE more than doubled between 2003 and 2014.3See data from The Transactional Records Access Clearinghouse at https://trac.syr.edu/phptools/immigration/removehistory/. Additionally, the number of immigration enforcement initiatives and programs involving the cooperation of local and state law enforcement with ICE increased. In some locations, the intensification of enforcement led to an environment of fear among migrants (Alsan and Yang 2019; Becerra et al. 2016; Watson 2014). This unwelcoming environment may have adversely affected migrants, including legal permanent residents (LPRs), who typically enjoy the safest immigration status. Some LPRs may be reluctant to leave the United States for temporary trips to their home countries for fear they may encounter difficulties re-entering the United States. Other LPRs may distrust authorities and even fear deportation in light of heightened enforcement (Kandil 2017). Lastly, some might be concerned about the extent to which greater enforcement might transform current immigration laws and policies, such as those related to the naturalization process. All these difficulties might make some immigrants ponder whether it is worth giving up their national identity and citizenship in their country of origin for the sake of gaining US citizenship. Others might be fearful of applying for naturalization, as the process requires revealing other household members’ information. Finally, some might instead rush to naturalize in an increasingly uncertain immigration environment.
Gaining a better understanding of how immigration enforcement might impact naturalization patterns is important for various reasons. Naturalization provides better employment opportunities and higher earnings for immigrants and their families. In that regard, Shierholz (2010) finds that family income and poverty rates are, respectively, 14.6 percent higher and 3 percentage points lower among naturalized immigrants than among their non-naturalized counterparts. In a similar vein, Pastor and Scoggins (2012) estimate an 8 percent gain in individual earnings following naturalization (an 11 percent gain for naturalized immigrants in California and a 15 percent gain for Californian Latinos). Likewise, using data from the American Community Survey, Enchautegui and Giannarelli (2015) find that the earnings of eligible-to-naturalize immigrants would increase by 8.9 percent if they were to become US citizens. Moreover, using both cross-sectional and longitudinal data, Bratsberg, Ragan, and Nasir (2002) document how naturalization increases men’s wages between 5 and 6 percent.
In addition, both Pastor and Scoggins (2012) and Bratsberg, Ragan, and Nasir (2002) underscore the importance of the timing of naturalization. Specifically, they note that gains to naturalization are larger for immigrants who have been naturalized longer, as they will have a longer period of better access to jobs and a greater incentive to invest in US-specific human capital. Additionally, the gains from naturalization expand well beyond the abovementioned economic gains to encompass the right to participate in the electoral process or easily sponsor a wider range of family members for legal permanent residency.
A growing body of work has examined the impact of immigration policies on immigrants and their families in the wake of intensified interior immigration enforcement.4Section A of the appendix contains a detailed discussion of the rolling out of interior immigration enforcement policies. Watson (2014) documents that heightened federal immigration enforcement leadsto “chilling effects”in Medicaid participation among children of noncitizens, even when the children are US citizens. Alsan and Yang (2019) find that Secure Communities (SC), which created a sense of fear among migrants, led to a decline in the use of safety net programs among Hispanic citizens, particularly those residing in mixed-status households (households with at least one unauthorized family member).5Secure Communitiesis an information-sharing program used in the apprehension and deportation of unauthorized immigrants. Under the program, local law enforcement agencies can submit information from arrests, such as fingerprints, to an integrated database with ICE that identifies immigration status and criminal activity of any individual. Amuedo-Dorantes and Lopez (2015) find that greater enforcement has a negative impact on the schooling progression of US children with unauthorized parents. The increase in deportations accompanying the intensification of interior immigration enforcement has also been shown to break up families, curtail employment and lower earnings of unauthorized migrants, and limit the political participation of US citizens living with unauthorized migrants (e.g., Orrenius and Zavodny 2009; Chaudry 2010 et al.; Landale, Thomas, and Van Hook 2011; Lopez 2011; Amuedo-Dorantes, Puttitanun, and Martinez-Donate 2013; Amuedo-Dorantes and Arenas-Arroyo 2017; Amuedo-Dorantes and Lopez 2017). With this study, we seek to gain a better understanding of how the intensification of immigration enforcement that started in the early 2000s—a high priority for the current administration—is affecting what has always been conceived of as the cornerstone of immigration assimilation: namely, the decision to naturalize and the timing of naturalization of eligible-to-naturalize immigrants.
Using a constructed population weighted index that serves as a proxy for the intensity of interior immigration enforcement at the MSA level, we show that tougher enforcement curtails naturalization. Moreover, among those choosing to naturalize, tougher enforcement appears to delay the process. Specifically, our findings, which prove robust to alternative definitions of the likely unauthorized population and various identification checks, show how the average annual increase in immigration enforcement over the time period under consideration lowers the likelihood of naturalization by 5 percentage points (12 percent) and, among naturalized migrants, it lengthens the time to naturalization by three months (6.6 percent). These findings support the notion that, for some migrants, intensified immigration might increase the cost of giving up one’s citizenship and national identity in an increasingly unwelcoming environment towards migrants. In addition, others might grow increasingly fearful of coming into contact with federal immigration authorities. To better identify the mechanisms, we investigate the specific policy channels through which the observed impacts appear to be taking place. We find that both police-based and employment-based enforcement curtail naturalization efforts, although only police-based enforcement (mainly through the Secure Communities program) appears to have contributed to delaying the timing of naturalization among those choosing to become citizens.
Because of the economic benefits of naturalization for immigrants and the rights that newly gained citizenship grants them, gaining an understanding of how recent immigration policies influence migrants’ decisions to naturalize and the timing of their naturalization deserves attention. We believe this is especially true given the current administration’s immigration policies, which include an increase in enforcement, the expansion of the Department of Homeland Security (DHS) removal priorities, including people who do not necessarily have criminal records (Pierce and Selee 2017).
The Decision to Naturalize and Immigration Enforcement
The Drivers of Naturalization
Naturalization requires that immigrants hold legal permanent residence status for at least five years, pass a naturalization test to demonstrate their English language proficiency and knowledge of US history and government, be 18 years of age or older, pass a criminal background check, and pay an application fee. Even when these requirements can be met, immigrants still weigh the costs against the benefits when deciding to naturalize. Research has shown that an immigrant’s decision to naturalize is influenced by a combination of personal attributes, host country characteristics, and country of origin factors that alter the costs and benefits associated with naturalization. For instance, educational attainment, gender, and age at migration have been shown to significantly influence naturalization decisions (Chiswick and Miller 2008). Immigrants are also more likely to naturalize the longer they have resided in the host country. In that regard, Passel (2007) finds that 63 percent of immigrants who have resided in the United States for more than 20 years have naturalized, compared to 53 percent of those living in the United States between 11 to 20 years, and 31 percent of those residing 6 to 10 years. Additionally, the characteristics of immigrants’ spouses, such as their citizenship status and educational attainment, can play a role (Chiswick and Miller 2008; Passel 2007). All of these factors can help to lower the costs of naturalization.
Geographic distance between the home country and the United States has also been shown to be a significant predictor of naturalization. A greater the distance from home is associated with a larger cost of return migration and an increased likelihood that an immigrant might naturalize (Chiswick and Miller 2008; Passel 2007). In addition, naturalization rates are higher among immigrants from countries that grant dual citizenship rights (Mazzolari 2009; Chiswick and Miller 2008; Jones-Correa 2001).
Dual citizenship lowers the cost of naturalization by allowing immigrants residing in the United States to maintain their citizenship rights in their home countries—an aspect fundamental to their national identities. The monetary costs associated with citizenship can also affect the naturalization decision. Hainmueller et al. (2018) find that the naturalization application rate doubles when fee vouchers are offered to low-income migrants. Finally, other country of origin traits shown to impact the decision to naturalize include linguistic distance between the home and host country, real GDP per capita, the level of political rights and civil liberties, economic freedom, and whether or not the source country is a refugee-sending country (Chiswick and Miller 2008). Linguistic distance, just as geographic distance, interferes with assimilation and might curtail the desire to naturalize. Additionally, poorer economic, social, and political conditions in the home country, relative to the host country, might naturally motivate immigrants to stay in the host country permanently and may, therefore, raise their interest in naturalization.
In this study, we are particularly interested in the role played by, yet, another factor: the host country’s immigration policy. Prior studies have pointed out the importance of policy in shaping immigrants’ naturalization patterns. For instance, Zong and Batalova (2016) document how naturalization rates rose during the 1990s, possibly in response to policies such as (1) the 1986 Immigration Reform and Control Act, IRCA, which provided amnesty to 2.7 million immigrants; (2) the 1996 Personal Responsibility and Work Opportunity Reconciliation Act, PRWORA, which placed restrictions placed on non-citizens’ access to welfare benefits; and (3) the 1996 Anti-Terrorism and Effective Death Penalty Act, AEDPA, which limited legal protection due to an expanded list of deportable offenses.6 See also Van Hook, Brown, and Bean (2006), who show that naturalization increased because of PRWORA and positive social contexts of immigrant reception. While there was somewhat of a decline thereafter due to growing backlogs (Chishti and Bergeron 2008), naturalization rates spiked again between FY2007 and FY2008 (increase of 59 percent) following naturalization campaigns launched for the 2008 presidential election, plus the impending increase in naturalization fees from $300 to $595 set to begin in mid-2007 (Zong and Batalova 2016).
The Link between Enforcement and Naturalization
As noted earlier, prior studies, such as Jones-Correa (2001) and Bloemraad (2002), have pointed out how LPRs’ propensity to naturalize can be shaped by institutional and policy factors. In particular, these authors note how naturalization rates increase when there is a supporting institutional framework encouraging the naturalization process, which, in turn, could also accelerate its timing. Policies supportive of migrant integration and naturalization can take various shapes or forms, including a reduction in naturalization fees, subsidized English and citizenship preparation classes, or immigration policies that accentuate and facilitate family reunification and the respect of migrant rights and civil liberties. Following this logic, we would expect intensified immigration enforcement to generate the opposite response from migrants, who might feel increasingly unwelcome in their host country. Increased tensions regarding immigration might be interpreted as opposition to immigration. Accordingly, immigrants may sense a lack of institutional support—support that is critical to their integration. They may also perceive threats to their civil rights following the increased use of immigration detainers (or “holds”) by Immigration Customs Enforcement (ICE). All these factors may make migrants question the gains from naturalization, even more so if they have to relinquish their current citizenships and nationalities. As a result, intensified immigration enforcement could curtail migrants’ interest in becoming US citizens, other things being equal.
Intensified immigration enforcement might also be deterring some LPRs from naturalizing if they reside in mixed-status households. These migrants might be fearful of coming into contact with immigration authorities and reveal information requested about their household members in their naturalization applications. After all, the application for naturalization (USCIS Form N-400) requires that the applicant reveal detailed information about certain family members. For example, the names, addresses, country and dates of birth, citizenship status, and A-number (the number issued to any LPR) must be recorded for the applicant’s mother, father, all children, and spouse. LPRs might be reluctant to disclose this information about their family members. The literature has already documented how, in the midst of intensified enforcement, migrants might forgo access to government benefits if they fear authorities. For example, the participation of many US citizen children with undocumented parents in federal programs has been shown to decline as enforcement toughens for fear that their undocumented family members might be identified (Watson 2014).7See also Claudia Torrens and Gisela Salomon, “Fear of deportation drives people off food stamps in US,” AP News, June 6, 2017; https://apnews.com/3c0b89362c414003a2603deaab43a702. If that is the case, the toughened interior immigration enforcement climate might influence many immigrants’ decision to naturalize and may also impact the timing of naturalization.
On the other hand, one could also foresee how the intensification of immigration enforcement could raise the incentive to naturalize among eligible migrants. Rising deportations can foster a sense of uncertainty when one lacks US citizenship (Singer and Gilbertson 2000).8For more information, see Miriam Jordan, “Citizenship Applications in the US Surge as Immigration Talk Toughens,” New York Times, October 27, 2017; Caitlin Yoshiko Kandil, “Fearing Deportation, Asian Immigrants in America Obtain US Citizenship,” Los Angeles Times, December 21, 2017; and Kate Linthicum, “More People Are Filing to Become Citizens in the Face of Anti-Immigration Policies,” Los Angeles Times, April 22, 2016. Some LPRs may feel that naturalization might help secure their US residency and rights, protecting them from removal in the worst-case scenario.9Green card holders are still subject to deportation under criminal offenses. See Alejandra Molina, “Legal Residents Seek Citizenship When Green Cards Are Not Enough,” Press-Enterprise, February 11, 2017. Others might feel compelled to naturalize or naturalize quickly if they fear immigration laws regarding naturalization might change in the near future, or if they believe that they can influence policy through their vote (Jones- Correa 2001).
Finally, it is also possible for migrants’ naturalization preferences to be unaffected by the current immigration policy context. Some might not be interested in naturalizing, regardless of the policy environment. In this regard, Taylor et al.(2012) report that 26 percent of Latino LPRs report not having attempted to naturalize or not being interested in naturalizing. Some migrants may feel that US citizenship results in a loss of identity, or they may not associate citizenship with any significant political or economic gains above and beyond the ones they have already accrued with their legal permanent resident status.10For example, see Kirk Semple, “Making Choice to Halt at Door of Citizenship,” New York Times, August 25, 2013.
In sum, the impact of intensified immigration enforcement on naturalization and its timing among eligible-tonaturalize immigrants remains an empirical question.
Data
Data on Naturalization
We rely on two different data sources: (1) the 2008 through 2016 waves of the American Community Survey (ACS) extracted from Integrated Public Use Microdata Series (IPUMS), 11IPUMS-USA, University of Minnesota, https://usa.ipums.org/usa/ and (2) local and state-level data on the enactment and implementation dates of numerous measures of interior immigration enforcement adopted since 2002 (Ruggles et al. 2017). The ACS reports citizenship status of respondents and allows us to distinguish between naturalized US citizens and non-citizens. Beginning in 2008, the ACS also began asking naturalized immigrant respondents for the year in which they naturalized. We use that information to capture the timing of naturalization, and we calculate the years until naturalization as years passed since a migrant first became eligible to naturalize.12Years to naturalization is calculated as the year an immigrant reported naturalizing his or her status minus the year in which the respondent migrated to the United States, conditional on reporting naturalized status. Because naturalization might eventually take place for most migrants, examining how its timing is affected by immigration enforcement can shed some additional light on its impacts.
Our sample is restricted to immigrant respondents who have naturalized or are eligible to do so. In order to identify the population of immigrants eligible to naturalize,13The ACS, while highly representative of the immigrant population during this recent period of intensified enforcement, lacks information on the LPR status of the foreign-born. we restrict our sample to immigrants who were at least 18 years of age when they arrived to the United States and who have been living in the country for at least five years (three years if married to a US citizen). While being 18 years old at arrival is not one of the criteria for being eligible to naturalize, imposing adulthood upon arrival eliminates immigrants who did not voluntarily decide to naturalize but, instead, received citizenship status through their parents’ naturalization (Mazzolari 2009).
Additionally, we exclude potentially unauthorized migrants, as they are not eligible to naturalize. Since the ACS lacks information on legal status, we have to infer it. Researchers rely on a variety of methods to do so, depending on the available information and the period of interest to the analysis (Orrenius and Zavodny 2016). For example, the residual method uses census data to identify immigrants who are legally in the country in order to then classify the residual immigrant population as likely undocumented (e.g., Passel and Cohn 2014). A second method used in the literature relies on predicting immigrants’ legal status using out-of-sample predictions derived from a donor sample, such as the Survey of Income and Program Participants (SIPP), which asks respondents about their legal status in some years (e.g., Rendall et al. 2013; Van Hook et al. 2015). Finally, other studies rely on logical imputation methods, which classify immigrant groups with traits common to unauthorized migrants as likely undocumented. Examples include Hispanic non-citizens with less than a high school education and long-term residencies in the United States, or less-educated Hispanics without government benefits and employed in non-governmental jobs or in occupations that do not require a license (Orrenius and Zavodny 2017, 2016; Amuedo-Dorantes and Bansak 2012, 2014; Amuedo-Dorantes and Lopez 2017).
We use new data on the estimates of the likely unauthorized population produced by the Center for the Study of Immigrant Integration (CSII) at the University of Southern California.14As a robustness check, we also repeat the analysis using an alternative proxy for identifying undocumented immigrants. The estimates are constructed using data from the ACS for the same period as our analysis. Logical edits are used to identify who is least likely to be unauthorized among the non-citizen population. Subsequently, probability estimates are used to sort the rest of the population into documented and unauthorized. The estimation used to identify unauthorized immigrants is based on a statistical model developed using the 2014 SIPP that is applied to the ACS data. Unlike most published out-of-sample prediction estimates, which frequently rely on the 2008 SIPP data, these estimates use the more recent 2014 SIPP. This is important, as deportations boomed over the 2008–2014 period, when ICE and the DHS rolled out the Secure Communities program across the entire country.15For more information on the construction of the estimates, see Manuel Pastor and Justin Scoggins, “Estimating the Eligible-to-Naturalize Population,” memo, USC Center for the Study of Immigrant Integration, March 8, 2016.
Finally, since we are interested in gauging the impact that exposure to intensified immigration enforcement might have on naturalization decisions, we restrict our sample to individuals who naturalized or became eligible to naturalize after 2002. This ensures their naturalization decisions might have been influenced by interior immigration enforcement rolled out throughout the country from 2002 onward.
Temporal and Geographic Variation in Immigration Enforcement
We gather information regarding the timing and geographic scope of various interior enforcement policies. Specifically, data on the enactment of state-level employment verification (E-Verify) mandates—often a key element in the Omnibus Immigration Laws (OIL)—and data on OIL are gathered from the National Conference of State Legislatures (NCSL) website. Data on the implementation of 287(g) agreements and Secure Communities (SC) at the state and local levels are collected from the Immigration and Customs Enforcement (ICE) 287(g) Fact Sheet website, from Kostandini, Mykerezi, and Escalante (2014), and from the ICE’s Activated Jurisdictions document, respectively.16ICE (2012a, 2012b, 2012c). Section B of the appendix provides a description of each of the immigration policies used in the analysis.
We begin by first computing five separate indices at the MSA level.17The ACS provides limited county information. The most comprehensive level of geographic detail ends up being the MSA level. Three of the indices rely on state-level data in their construction: OIL, State_287(g), and E-Verify. The other two indices rely on county-level data: MSA-287(g) and SC. To construct the OIL, State_287(g), and E-Verify indices, we first determine the month and year when a state first enacted an omnibus immigration law, entered into a written 287(g) agreement with federal immigration authorities, or enrolled in the federal E-Verify program. We also take into account the month and year in which the measure was no longer in effect for that state. In other words, we are capturing the duration of enforcement coverage for each enforcement measure and for every state in a given year. For example, we assign a 0 to any state in a given year if no omnibus immigration law was enacted. We assign a 1 to any state in a given year if an omnibus immigration law was in effect for the entire year. We assign a number between 0 and 1 to any state in a given year if an omnibus immigration law was in effect for only part of the year (equal the fraction of covered months over that year). We follow the same steps to calculate the 287(g) index and the E-Verify index. Since our objective is to create an index at the MSA-level, we then assign these indices (constructed from state-level data) to each MSA within the state in that year.
To construct the MSA-287(g) and SC indices, we follow a similar process. However, since they were adopted at the county level, we construct an index measuring the fraction of months during which the 287(g) agreement or Secure Communities program was in effect for each county and year. The index is weighted by that county’s fraction of the total MSA population in 2000.18These two additional indices strengthen our enforcement index by providing greater geographic variation in immigration enforcement. We weight these two indices because, unlike the previous three indices, where a state-level measure implies that everyone at the MSA level is also exposed to the measure, exposure to a county-level measure does not imply that everyone at the MSA level is exposed. Only if every county included in the MSA adopted the enforcement measure would everyone in the MSA level be impacted by it. Since our objective is to construct an index at the MSA level, each MSA is assigned MSA-287(g) and SC indices equal to the sum of the county indices in that MSA and year.19For example, if an MSA is comprised of two counties, the Enforcement Index for SC (or MSA-287(g)) assigned to MSA m in year t would be given by:
Once we have constructed all five separate state and local immigration enforcement indices, we sum all five indices for any given MSA and year to derive the enforcement index we work with in our analysis.20Thus the where k=SC, MSA-287g, State-287g, OIL, and E-verify. The enforcement index is the sum of all the aforementioned five enforcement measures for any MSA and year and, as such, fluctuates between 0 and 5.
There are several advantages to using a single index of enforcement as a proxy for the intensification of immigration enforcement.21It is worth noting that the index is a proxy of the intensity of immigration enforcement to which respondents in a particular MSA might be exposed. The true intensity of any enforcement measure will inevitably vary across jurisdictions as each one is different and might implement like measures more or less strictly depending on who is in charge of its implementation or other unobserved local traits. To address that limitation, we include area fixed effects as well as area-specific time trends intended to capture such idiosyncrasies. First, an index provides a more comprehensive way of measuring the overall impact of a variety of overlapping immigration enforcement initiatives. Nevertheless, we also experiment with distinguishing between police-based and employer-based enforcement measures, given their distinct consequences—the former being more directly linked to apprehension and deportation22In the analysis of the sources of impacts, our five individual indices are separated into police and employment-based measures. For where
=SC, MSA-287g, State-287g, and OIL. It is the sum of the four measures for each MSA and year. The
.Additionally, we display the impacts of individual policy measures. Second, through the combination of various indices, each weighted by the population and number of months during which the measure in question was in place in a given year, we are able to better capture the depth and intensity of immigration enforcement, as opposed to only whether a measure was in place. The third advantage of such an index stems from the fact that immigration enforcement is an interconnected system administered by various federal, state, and local authorities and agencies with similar missions. Some measures, such as Secure Communities, were enacted to replace prior measures, like the 287(g) program. The index allows us to better account for this interconnectedness and high correlation, while facilitating the interpretation of the overall impact of intensified enforcement.
We merge the immigration enforcement index into our main dataset by MSA and naturalization date in the case of naturalized migrants, and by MSA and survey date in the case of eligible-to-naturalize individuals who have not yet naturalized. In this manner, we ensure that the index reflects the enforcement in place when a person made the decision either to naturalize or to remain a permanent resident.
Descriptive Statistics
Figure 1 provides an overview of the evolution of the average level of interior immigration enforcement, based on our index, during the time span under examination. There has been a clear and steady upward trend in interior immigration enforcement, which confirms the intensification of enforcement over the 2008 to 2016 time period.
Figure 2 further plots the average naturalization rate and years to naturalization according to the intensity of interior immigration enforcement as captured by the index. As explained earlier, our data consist of eligible-tonaturalize and naturalized immigrants. We observe an inverse relationship between naturalization rates and immigration enforcement, hinting at the possibility that tougher enforcement might have deterred some individuals from naturalizing. Additionally, among naturalized immigrants, enforcement might have delayed the process or lengthened the time taken to naturalize. While revealing, figure 2 fails to account for other individual, family, geographic, or temporal traits potentially impacting naturalization decisions. As such, it is only suggestive of a relationship which we explore more thoroughly in what follows.
Table 1 presents summary statistics for our sample of naturalized and eligible-to-naturalize immigrants, as well as separate descriptive statistics for the subsample of naturalized immigrants. Approximately 40 percent of our sample has naturalized. On average, it took individuals approximately 3.5 years to do so. In terms of human capital, the majority of the respondents in our sample have at least a high school diploma or higher. Slightly more than half of the sample is female and, on average, 44 years old. Seventy percent are married, and the average number of children residing in each household was less than one. Approximately 30 percent of migrants are Hispanic, and 26 percent reside in mixed-status households. The vast majority entered the United States between 2001 and 2005. Lastly, naturalized immigrants in the last two columns show slightly higher education levels, plus they are less likely to be Hispanic or reside in mixed-status households. However, many of the differences are not large and statistically significant.
Empirical Methodology
Our aim is to learn how the intensification of interior immigration enforcement is affecting naturalization rates and the timing of naturalization. To that end, we estimate equation (1) below, which exploits the temporal and geographic variation in immigration enforcement across MSAs:
(1)
where is either: (1) a dichotomous variable indicative of whether migrant,
, from country
, who arrived to the United States in year
, and is residing in household
, in MSA
, in year
has naturalized; or (2) for naturalized respondents, a variable indicative of the years to naturalization. The variable measuring years to naturalization is calculated as the difference between the year the respondent reported naturalizing and the year the respondent became eligible to naturalize.23The regression analysis is conditional on being naturalized already when the outcome variable is years to naturalization. The vector
captures the intensity of interior immigration enforcement in MSA
at time
, where
is the year immigrants naturalized or the survey year if they have not naturalized. This ensures that the enforcement level within an MSA reflects the intensity of enforcement in place when migrants choose to naturalize or, alternatively, when they choose to remain permanent legal residents. Equation (1) includes the vector
, which accounts for individual-level characteristics known to be correlated with naturalization patterns, including age, gender, race, marital status, number of children, and educational attainment.
Additionally, equation (1) incorporates MSA unemployment rates, as well as a broad range of fixed effects to account for unobserved time-invariant characteristics potentially influencing immigrants’ naturalization. Specifically, we first include country-of-origin fixed effects and country-of-origin time trends
that capture fixed and time-varying country-specific traits affecting naturalization rates, such as whether the immigrant originates from an underdeveloped or developed economy, or from a place that has recently endured political turmoil, civic unrest, or other conflicts. Secondly, we add fixed effects for the year of arrival
to capture unobserved and time-invariant immigrant cohort characteristics correlated to naturalization patterns. Third, we include MSA
and MSA-specific time trends
to address unobserved fixed and time-invariant local area characteristics correlated with naturalization patterns via immigrants’ residential choices and economic assimilation. The latter include residing in a less welcoming or economically challenged MSA where it might prove harder for immigrants to succeed or, alternatively, in an MSA with a growing share of compatriots facilitating their economic and social assimilation. Finally, we also incorporate year
fixed effects to capture, for instance, the impact of macroeconomic and political shocks, such as the 2008–2009 recession or presidential election years.24We also include an indicator for whether it was a presidential election year given the launched naturalization campaigns in some occasions. However, it drops due to collinearity reasons once we include year fixed effects. Equation (1) is estimated using ordinary least squares (OLS),25We estimate our models using ordinary least squares to facilitate convergence when working with large samples and model specifications with numerous fixed effects (Wooldridge 2012). and standard errors are clustered at the MSA level.
Our coefficient of interest is , which measures how intensified enforcement influences immigrants’ naturalization patterns. On one hand, tougher immigration enforcement might get in the way of the economic and social assimilation of immigrants. Even if they are in the United States legally, they might feel unwelcome, they might perceive a lack of institutional support needed to assimilate, or they might become fearful of immigration and law enforcement authorities in an increasingly hostile environment towards migrants—a climate they perceive could interfere with their civil rights. Additionally, eligible-to-naturalize immigrants residing in mixed-status households may fear for the safety of their loved ones if they are required to disclose information about their families to immigration officials. All of these feelings, in addition to the prospect of losing prior citizenship and national identity, could hinder their desire to naturalize and dissuade them from adjusting their status. In such instances, we would expect
< 0, as tougher immigration enforcement inhibits some eligible immigrants from naturalizing. If that is the case, we may also observe a lengthening of the time it takes to naturalize among those who decide to move forward (i.e.,
> 0).
On the other hand, perceived uncertainty over the future of immigration laws, as well as potential economic benefits from naturalization, might induce some eligible-to-naturalize immigrants to naturalize as soon as possible to secure their own rights and be in a better position to assist their households economically. After all, citizenship grants access to a wider range of safety net programs. Citizenship is also viewed positively by some employers, who interpret it as a sign of the employee’s intent to permanently settle in the United States. In those instances, we would expect > 0 when modeling the likelihood of naturalization, suggesting that enforcement induces immigrants to naturalize and, possibly, to do so faster, reducing the average time to naturalization (i.e.,
< 0).
In what follows, we explore which hypothesis is empirically supported by the data.
Immigrant Naturalization Patterns in the Midst of Intensified Enforcement
Main Findings
Table 2 displays the estimated impact of intensified immigration enforcement on the naturalization patterns of eligible-to-naturalize immigrants. We estimate various model specifications that progressively add a number of demographic controls on the respondent, as well as aggregate area characteristics, like regional unemployment rates. Our first specification only includes the enforcement index along with basic MSA and year fixed effects, and MSA-specific time trends, in order to capture the estimated impact of intensified enforcement within each MSA and year. Subsequently, in specification (2), we add basic demographic traits, including age, gender, ethnicity, marital status, number of children, race/ethnicity, educational attainment, and arrival year fixed effects. Finally, specification (3) incorporates area and country-of-origin controls, such as the MSA unemployment rate, country-of-origin fixed effects, and time trends specific to country-of-origin.
The estimates in table 2 appear robust to the inclusion of additional regressors. Therefore, we focus our discussion on the most complete model specification. According to those estimates, the average annual increase in enforcement over the period under consideration lowers the likelihood of naturalization by 4.8 percentage points, or 12 percent. Additionally, it lengthens the time to naturalization by three months, or 6.6 percent, among those naturalized.26We use the average annual increase in immigration enforcement over the time span under consideration to provide a reasonable estimate of the impact of further enforcement hikes of the magnitude seen in the past. The estimated impacts are computed as [(the average of the annual change in enforcement over the 2008–2016 period *estimated coefficient)/mean of the dependent variable]*100. The average annual change in enforcement over the 2008–2016 period is 0.117 for the overall sample and 0.107 for the subsample of naturalized immigrants. Hence, the impacts are computed as [(0.117*-0.416)/0.405]*100=-12.02 percent and [(0.107*2.161)/3.532]*100=6.55 percent, respectively. The impact of enforcement on years to naturalization can also be expressed in months -namely, (0.107*2.161*12)=2.77 months. These are non-negligible impacts compared to those of other demographic, household, and MSA traits. As an example, immigrants with a high school education or more than a high school education are, respectively, 8 and 9 percentage points more likely to naturalize than immigrants without a high school education. Similarly, married immigrants are 0.8 percentage points more likely to naturalize than non-married immigrants. In contrast, men and Hispanics are, respectively, 2 and 5 percentage points less likely to naturalize than their female and non-Hispanic counterparts.
Demographic traits also play a crucial role in the timing of naturalization. Older, male, Hispanic, married, and those with a greater number of children are more likely to take longer to naturalize. Additionally, as with naturalization, the effect of intensified immigration enforcement on the time to naturalize is non-trivial when compared to the impact of demographic traits. In sum, the intensification of immigration enforcement appears to have inhibited naturalization efforts and lengthened the time to naturalization among those choosing to move forward. Furthermore, as we show in appendices C and D, our findings prove robust to the use of an alternative proxy for identifying the likely unauthorized population excluded from the sample, as well as to the use of an alternative definition of the eligible-to-naturalize population.27See section C in the appendix for a detailed explanation of the alternative methodology used to identify and exclude likely undocumented immigrants, as well as the results obtained using this alternative methodology. See section D in the appendix for a detailed explanation of the alternative definition of the eligible-to-naturalize population.
Identification Checks
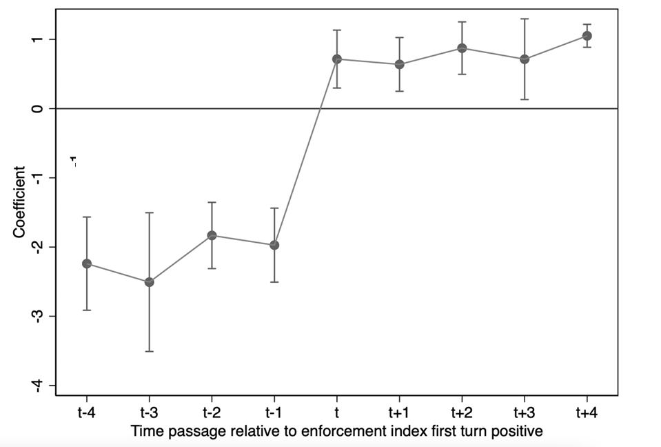
An important caveat to our empirical approach would be if the measured impact of intensified immigration enforcement predated the adoption of tougher enforcement by the MSA. In that case, we would be falsely attributing the observed impacts to immigration enforcement when, in fact, the observed impacts were already in place prior to the policies’ implementation. To investigate if this is a valid concern, we re-estimate equation (1), this time adding year dummies for up to four years leading up to, and four years after the initial implementation of interior immigration enforcement measures in the MSA. Figure 3 plots the estimated coefficients for the newly added year dummies. If the measured impacts in table 2 are causal, we would expect to see a shift in naturalization patterns following the activation of tougher enforcement measures. Indeed, for the year before the immigration enforcement first turns positive in the MSA, the plots reveal a clear trend break in both naturalization and time to naturalization.
A second concern when gauging the impact of adopted policies refers to their unlikely random nature. Tougher immigration enforcement policies are not any different in that regard. However, while no policy is ever random, from an econometric point of view, we should be concerned if the adoption of tougher immigration enforcement was somewhat shaped by immigrants’ naturalization patterns. To that end, we restrict our sample to the pre-policy period, collapse the data at the MSA level, and estimate the following regression:
(2)
Our goal is to assess if the MSA’s share of naturalized immigrants (or the average time until naturalization in the MSA) prior to the MSA’s adoption of any interior immigration enforcement can help predict the year in which the immigration enforcement index first turns positive in the MSA. The vector is the year in which MSA
adopted its first enforcement measure. The vector
represents either: (1) the share of naturalized immigrants, or (2) the average years to naturalization of naturalized immigrants in MSA m prior to the adoption of any enforcement. The next vector,
, contains aggregate MSA-level characteristics from before the adoption of any of the enforcement measures being considered. We also include state fixed effects and cluster standard errors at the state level. As shown in table 3, we find no evidence of immigrants’ naturalization patterns driving the adoption of tougher immigration enforcement policies by MSAs. Hence, while non-random, the adoption of tougher immigration enforcement measures by MSAs and, in turn, immigrant exposure to tougher enforcement cannot be predicted by their naturalization patterns.
A final concern to the model identification in equation (1) has to do with the non-random location of eligibleto-naturalize immigrants in our sample, particularly if they reside in mixed-status households. In those instances, they might choose to reside in localities with less interior immigration enforcement. Yet if that were the case, the estimated impacts in table 2 would be downward biased, providing a lower bound for the true impacts of intensified immigration enforcement on immigrants’ naturalization patterns. Still, to gauge the extent to which our estimates might be biased, we re-estimate equation (1), dropping immigrants who have moved within the past year. The results, displayed in table 4, are consistent with those presented in table 2. In response to increases in immigration enforcement, immigrants continue to be less likely to naturalize, and those who do naturalize appear to take longer to do so.
In addition, we experiment with testing whether immigration enforcement can help predict the location of eligible-to-naturalize immigrants over the time span under consideration. As we show in section E of the appendix, we find no evidence of that being the case, suggesting that intensified enforcement does not seem to play a significant role in the residential choices made by LPRs and naturalized immigrants in our sample.
Policy Channels
Thus far, we have shown that the intensification of immigration enforcement appears to decrease and delay the naturalization of most eligible-to-naturalize immigrants. Yet from a policy perspective, understanding which type of immigration enforcement may be primarily responsible for the observed impacts is also important.
We group enforcement initiatives based on their traits and similarities. Specifically, we distinguish between police-based policies and employer-based measures. This distinction is relevant not only because of who is involved in the implementation of such measures, but also because of the distinct implications of each set of initiatives. Police-based measures directly involve the local or state police, as in the case of 287(g) agreements, Secure Communities, and omnibus immigration laws. Because the police can stop individuals in the street or elsewhere and, if in doubt, request proper identification, these measures encompass an element of uncertainty and fear of apprehension or deportation. Of particular importance to us is the fact that all the measures include similar checks, use similar law enforcement resources and, when implemented simultaneously, build on each other. Finally, all the measures help to facilitate immigrant deportations. In contrast, employer-based measures, such as employment verification mandates, are implemented by those hiring and checking the work eligibility of new and existing hires through the electronic E-Verify program. Prospective and existing employees are made aware of the firm’s use of E- Verify, and non-approvals are not directly associated with deportations.
We construct separate immigration enforcement indices for the two sets of measures, and include them in an equation similar to equation (1). According to the estimates in table 5, while both measures result in lower naturalization rates, only police enforcement leads to a delay in naturalization. The average annual increase in police-based immigration enforcement over the period under consideration curtails naturalization by 12 percent and, among those naturalized, delays naturalization by three months. However, the impact of employment-based immigration enforcement appears much weaker. The average annual increase in employment-based immigration enforcement only seems to marginally curtail naturalization by 0.85 percent and has no apparent significant impact on the timing of naturalization of naturalized immigrants.28The estimated impacts are computed as [(the average of the annual change in enforcement over the 2008–2016 period*estimated coefficient)/mean of the dependent variable]*100. The average annual change in police enforcement over the 2008–2016 period is 0.099 for our main sample and 0.086 for the subsample of naturalized immigrants. Therefore, the impact is computed as [(0.099*-0.496)/0.416*100=-11.8 percent for naturalization and [(0.086*2.682)/3.562]*100=6.48 percent for years to naturalization. We can also express the impact on time to naturalization in months: (0.086*2.862*12) =3 months. The average annual change in employment enforcement over the 2008–2016 period is 0.019 for the main sample on which it appears to have a significant impact. The impact is computed as [(0.019*-0.187)/0.416] *100= -0.85 percent. The weaker impacts could be due to the more unwelcoming and fearful environment fostered by police- based measures when compared to the employment-based measures.29We also estimate equation (1) separately for each of the interior immigration enforcement measures used to construct the enforcement index. The results are shown in section F of the appendix. With the exception of 287(g), interior immigration enforcement measures produce results similar to those shown in table 2—the largest impact originating from the one policy with greatest incidence, namely Secure Communities (SC).
Another policy type that could have affected our results is the adoption of the so-called sanctuary policies. As we explain in section A of the appendix, the intensification of interior immigration enforcement was made possible through ICE’s collaborations with local law enforcement agencies (LEAs). Some police-based immigration enforcement programs, such as the 287(g), allowed state and local law enforcement to act as federal immigration enforcement agents within their jurisdictions. However, for some LEAs, the need to ensure effective policing by preserving trust between law enforcement and the immigrant community took precedence over complying or collaborating with ICE. As a result, many localities chose to limit their cooperation with federal immigration authorities. This was typically done through the adoption of formal laws or regulations, such as Trust Acts (e.g., California Trust Act), as well as through more informal practices, such as general prohibitions on providing assistance and resources to ICE. These practices, which have earned these localities the label of “sanctuary” cities, could offset the impact of immigration enforcement. Hence, in table 6, we assess if sanctuary policies with the broadest geographic scope—namely, statewide Trust Acts—appear to have influenced our estimates.
According to the results in table 6, the intensification of immigration enforcement appears to have had a similar impact on the naturalization efforts of eligible-to-naturalize immigrants, regardless of whether they reside in a state with a Trust Act in place. The result is not surprising considering these laws are recent (the vast majority having been enacted after 2013). As such, they have limited coverage, with only 7 out of 50 states having adopted such policies. Nevertheless, immigrants choosing to naturalize appear to take somewhat longer to do so (one more month) when residing in a Trust Act state. This small difference could be due to various factors, including the presence of Trust Acts in few states during the period under analysis.30The states include California, Colorado, Illinois, Massachusetts, New Mexico, Oregon, and Vermont. Alternatively, it is possible that, feeling safer, LPRs do not perceive a need to naturalize quickly in order to secure their rights. They might perceive fewer obstacles to their assimilation and, therefore, may not feel a pressing need to naturalize.
Heterogeneous Impacts: Are Mixed-Status Households Any Different?
To conclude, and since immigration enforcement would be expected to have a greater impact on mixed-status households, we repeat the analysis distinguishing between eligible-to- naturalize immigrants residing in mixed-status households and their counterparts in other homes. An estimated 16 million people currently live in mixed-status families—households with at least one unauthorized immigrant. Of the estimated population living with at least one unauthorized immigrant, 8.2 million are US citizens or naturalized citizens, and 2.6 million are non-citizen legal permanent residents (LPRs) (Mathema 2017). Mixed-status families face a number of challenges due to the unauthorized status of one or more family members. These challenges include increased stress and anxiety levels over familial separation, geographic relocation in order to evade the apprehension of a family member, or a significant loss of household income when a family member (typically the household head) is deported. While LPRs living in mixed-status households are not the direct target of immigration enforcement, they are personally connected to the struggles experienced by their unauthorized family members. Thus, it is natural to expect distinct naturalization patterns among eligible-to-naturalize individuals residing in these households, as well as a potentially differential impact of enforcement on their naturalization patterns, given their families’ composition.
The ACS allows us to identify all household members in our sample. Once we identify a household, we are able to determine if other immigrants live in the same household and, in that case, to proxy for their legal status.31We use the same approach from the analysis in table 2 for identifying likely unauthorized immigrants. Using this information, we create a dummy variable indicative of those living in mixed-status households.32Section G of the appendix shows summary statistics for individuals living in mixed and non-mixed households. Individuals residing in non-mixed households are more likely to be naturalized compared to non-mixed households. In table 7, we show results when we estimate equation (1) including a mixed-status household dummy and its interaction with the immigration enforcement index. Despite having the expected signs, the coefficients on the interaction terms are not statistically different from zero, suggesting that immigration enforcement impacts eligible-to-naturalize migrants similarly, regardless of whether their household is mixed. However, the reasons may differ as to why eligible-to-naturalize migrants in the two different sets of households respond as they do. Immigrants from mixed-status households might fear revealing sensitive information about their undocumented household members, even if naturalization could particularly benefit the household by providing access to safety nets and better paying opportunities—both quite relevant when some household members are negatively impacted by intensified immigration enforcement. In contrast to fear, eligible-to-naturalize individuals in non-mixed status households might be responding to a more hostile environment towards immigrants. Perceptions of hostility may interfere with their assimilation, diminishing their desire to renounce their national identities and citizenships. This may be especially true if they are not economically pressed and if no one in the household is targeted by tougher immigration enforcement policies.
Other estimates from table 7 are as expected. For instance, naturalization patterns significantly differ across immigrants in mixed and non-mixed households, with the former being significantly less likely to naturalize. In particular, eligible-to-naturalize immigrants in mixed-status households are 27 percent less likely to naturalize than their counterparts in non-mixed households. However, those who naturalize take two months less than immigrants in non-mixed households to become US citizens. Eligible-to-naturalize migrants in mixed-status households may be determined to naturalize quickly in order to assist household members who are potentially economically constrained by intensified immigration enforcement. Naturalization might also provide those families with access to means-tested benefits and may potentially boost the earnings of those naturalized.
In sum, despite the distinct naturalization patterns exhibited by immigrants in mixed-status households and those in non-mixed status households, immigration enforcement appears to have a similar deleterious and worrisome impact on the naturalization patterns of eligible-to-naturalize migrants, regardless of whether they reside in mixed or non-mixed status households.
Summary and Policy Implications
Using data from the 2008–2016 American Community Survey, we examine the impact of intensified enforcement on the decision to naturalize among immigrants living in mixed-status households. We find that more stringent immigration enforcement lowers and delays naturalization. The negative impact of intensified immigration enforcement on the naturalization decision and the timing of naturalization appears to be primarily attributed to police-based measures. Intensified enforcement may make some immigrants feel unwelcome and could fuel the perception that assimilation would be significantly tougher in that environment, as suggested by the prior literature (Jones-Correa 2001; Bloemraad 2002). Others might be scared away from reporting information about themselves or their loved ones to immigration officials. Regardless of their reasons, the effects are strong enough to affect all eligible-to-naturalize immigrants, independently of whether they reside in a mixed-status household or in a state with a recently enacted Trust Act.
Naturalization is the cornerstone of assimilation, with many immigrants valuing the opportunity to become US citizens. However, our results suggest that enforcement is either preventing immigrants from naturalizing or causing them to naturalize later in life. As previously mentioned, a number of studies have emphasized the significant economic returns to naturalization. Acquiring citizenship translates to increases in individual earnings ranging between 5 and 8 percent, household incomes rising by more than 14 percent, and poverty reductions averaging 3 percentage points, with the highest returns observed among immigrants who have been naturalized for 12 to 17 years (Enchautegui and Giannarelli 2015; Pastor and Scoggins 2012; Shierholz 2010; Bratsberg, Ragan, and Nasir 2002). In this context, our findings highlight the negative impact that immigration enforcement can have on the economic assimilation of immigrants via changes in naturalization patterns. In addition, naturalization provides migrants with the right to vote. By curtailing naturalization desires and efforts, the tougher immigration environment might further exclude immigrants from influencing policy that pertains to them and will shape their future and that of their families.
Appendix
Figure 1. Trend in Immigration Enforcement
Figure 2. Relationship between Immigration Enforcement and Naturalization Outcomes
Figure 3. Identification Check #1 – Event Study Analysis
Table 1. Descriptive Statistics
Sample: Eligible-to-naturalize and naturalized immigrants, excluding the likely unauthorized, who first became eligible to naturalize or naturalized in 2002 or later in the 2008–2016 ACS.
Table 2. The Role of Intensified Immigration Enforcement on Naturalization Outcomes
Notes: All regressions include a constant term. Robust standard errors are clustered at the MSA level and shown in parentheses. *** p<0.01, ** p<0.05, * p<0.10
Table 3. Identification Check #2 – Timing of Adoption of Tougher Immigration Enforcement
Notes: Sample restricted to the first year of our sample and to MSAs that had not yet implemented tougher interior immigration enforcement measures. Standard errors are clustered at the state level. *** 1% level or better, ** 5% level and * 10% level.
Table 4. The Role of Intensified Immigration Enforcement on Naturalization Outcomes Excluding Individuals Who Moved within the Past Year
Notes: *** 1% level or better, ** 5% level and * 10% level. The regressions refer to the most complete specifications in table 2. They include a constant and standard errors are clustered at the MSA level.
Table 5. Impacts of Interior Immigration Enforcement by Type of Enforcement
Notes: *** 1% level or better, ** 5% level and * 10% level. The regressions refer to the most complete specifications in table 2 and the additional sample restriction in table 5 (excluding those who moved within the past year). The model includes a constant and standard errors are clustered at the MSA level.
Table 6. The Role of Intensified Immigration Enforcement on Naturalization Outcomes
Trust Act vs. No Trust Acts
Notes: *** 1% level or better, ** 5% level and * 10% level. The regressions refer to the most complete specifications in table 2 and the additional sample restriction in table 5 (excluding those who moved within the past year). The model includes a constant and standard errors are clustered at the MSA level.
Table 7. The Role of Intensified Immigration Enforcement on Naturalization Outcomes
Mixed vs. Non-Mixed Status Households
Notes: *** 1% level or better, ** 5% level and * 10% level. The regressions refer to the most complete specifications in table 2 and the additional sample restriction in table 5 (excluding those who moved within the past year). The model includes a constant and standard errors are clustered at the MSA level.
References
Aguilasocho, Edgar, David Rodwin, and Sameer Ashar. 2012. “Misplaced Priorities: The Failure of Secure Communities in Los Angeles County.” UC Irvine School of Law Research Paper No. 2013-118.
Alsan, Marcella, and Crystal Yang. 2019. “Fear and the Safety Net: Evidence from Secure Communities.” NBER Working Paper 24731.
Amuedo-Dorantes, Catalina, and Esther Arenas-Arroyo. 2017. “The Changing Family Structure of American Children with Unauthorized Parents” Global Labor Organization (GLO) Working Paper.
Amuedo-Dorantes, Catalina, and Cynthia Bansak. 2012. “The Labor Market Impact of Mandated Employment Verification Systems.” American Economic Review: Papers & Proceedings 103:543–8.
———. 2014. “Employment VerificationMandates and the Labor Market Outcomes of Likely Unauthorized and Native Workers.” Contemporary Economic Policy 32:671–80.
Amuedo-Dorantes, Catalina, and Mary Lopez. 2015. “Falling through the Cracks? Grade Retention and School Dropout among Children of Likely Unauthorized Immigrants.” American Economic Review: Papers & Proceedings 105 (5): 598–603.
———. 2017. “Interior Immigration Enforcement and the Political Participation of US Citizens in MixedStatus Households.” Demography 54 (6): 2223–47.
Amuedo-Dorantes, Catalina, and Susan Pozo. 2014. “On the Intended and Unintended Consequences of Enhanced Border and Interior Immigration Enforcement: Evidence from Deportees.” Demography 51 (6): 2255–79.
Amuedo-Dorantes, Catalina, Thitima Puttitanun, and AnaMartinez-Donate. 2013. “How Do Tougher Immigration Measures Impact Unauthorized Immigrants?” Demography 50 (3): 1067–91.
Becerra, David, M. Alex Wagaman, David Androff, Jill Messing, and Jason Castillo. 2017. “Policing Immigrants: Fear of Deportations and Perceptions of Law Enforcement and Criminal Justice.” Journal of Social Work 17 (6): 715–31.
Bloemraad, Irene. 2002. “The North American Naturalization Gap: An Institutional Approach to Citizenship Acquisition in the United States and Canada.” International Migration Review 36 (1): 193–228.
Bohn, Sarah, and Magnus Lofstrom. 2012. “Employment Effects of State Legislation against the Hiring of Unauthorized Immigrant Workers.” IZA Discussion Paper Series, no. 6598.
Bohn, Sarah, Magnus Lofstrom, and Steven Raphael. 2014. “Did the 2007 Legal Arizona Workers Act Reduce the State’s Unauthorized Immigrant Population?” The Review of Economics and Statistics 96 (2):258-269.
Borjas, George. 2017. “The Labor Supply of Undocumented Immigrants.” Labour Economics 46:1–13.
Bratsberg, Bernt, James F. Ragan Jr., and Zafar M. Nasir. 2002. “The Effect of Naturalization on Wage Growth: A Panel Study of Young Male Immigrants.” Journal of Labor Economics 20 (3): 568–97.
Chaudry, Ajay, Randy Capps, Juan Manuel Pedroza, Rosa Maria Castaneda, Robert Santos, and Molly M. Scott. 2010. Facing our Future: Children in the Aftermath of Immigration Enforcement. Washington, DC: Urban Institute.
Chishti, Muzaffar, and Claire Bergeron. 2008. “USCIS: Backlog in Naturalization Applications Will Take Nearly Three Years to Clear.” Migration Policy Institute. February 15, 2008. http://www.migrationpolicy.org/article/uscis-backlog-naturalization-applications-will-take-nearly-three-years-clear.
Chiswick, Barry, and Paul Miller. 2008. “Citizenship in the United States: The Roles of Immigrant Characteristics and Country of Origin.” IZA Discussion Paper Series, no. 3596.
Enchautegui, María E., and Linda Giannarelli. 2015. The Economic Impact of Naturalization on Immigrants and Cities. Urban Institute Research Report, New York, NY.
Hainmueller, Jens, Duncan Lawrence, Justin Gest, Michael Hotard, Rey Koslowski, and David D. Laitin. 2018. “A Randomized Controlled Design Reveals Barriers to Citizenship for Low-Income Immigrants.” Proceedings of the National Academy of Sciences of the United States of America 115 (5): 939-944.
Jones-Correa, Michael. 2001. “Institutional and Contextual Factors in Immigrant Naturalization and Voting.” Citizenship Studies 5 (1): 41–56.
Kandil, Caitlin Yoshiko. 2017. “Fearing Deportation, Asian Immigrants in America Obtain US Citizenship.” Los Angeles Times. December 21, 2017.
Kostandini, Genti, Elton Mykerezi, and Cesar Escalante. 2014. “The Impact of Immigration Enforcement on the U.S. Farming Sector.” American Journal of Agricultural Economics, 96 (1): 172-192.
Landale, Nancy, Kevin Thomas, and Jennifer Van Hook. 2011. “The Living Arrangements of Children of Immigrants.” Future Child 21 (1): 43–70.
Lopez, Tomas. 2011. “Left Back: The Impact of SB1070 on Arizona’s Youth.” University of Arizona, Tucson, Arizona.
Mathema, Silva. 2017. “Keeping Families Together: Why All Americans Should Care about What Happens to Unauthorized Immigrants.” Center for the Study of Immigrant Integration, University of Southern California.
Mazzolari, Francesca. 2009. “Dual Citizenship Rights: Do They Make More and Richer Citizens?” Demography 46 (1): 169–91.
Nguyen, Mai Thi, and Hannah Gill. 2015. “Interior Immigration Enforcement: The Impacts of Expanding Local Law Enforcement Authority.” Urban Studies 52 (2): 302–323.
Orrenius, Pia, and Madeline Zavodny. 2009. “The Effects of Tougher Enforcement on the Job Prospects of Recent Latin American Immigrants.” Journal of Policy Analysis and Management 28, no. 2 (Spring): 239–57.
———. 2017. “Unauthorized Mexican Workers in the United States: Recent Inflows and Possible Future Scenarios.” Federal Reserve Bank of Dallas, Research Department, Working Paper 1701.
Passel, Jeffrey S. 2007. “Growing Share of Immigrants Choosing Naturalization.” Pew Research Center. Hispanic Trends. March 28, 2007. http://www.pewhispanic.org/2007/03/28/growing-share-ofimmigrants-choosing-naturalization/.
Passel,Jeffrey S., and D’VeraCohn. 2014. “Unauthorized Immigrant Totals Rise in 7 States, Fall in 14: Decline in Those from Mexico Fuels Most State Decreases.” Pew Research Center. Hispanic Trends. November 18, 2014. https://www.pewhispanic.org/2014/11/18/unauthorized-immigrant-totals-risein-7-states-fall-in-14/.
Pastor, Manuel, and Justin Scoggins. 2012. “Citizen Gain: The Economic Benefits of Naturalization for Immigrants and the Economy.” Center for the Study of Immigrant Integration, University of Southern California.
Pierce, Sarah, and Andrew Selee. 2017. Immigration under Trump: A Review of Policy Shifts in the Year Since the Election. Washington, DC: Migration Policy Institute.
Preston, Julia. 2011. “Immigration Crackdown Also Snares Americans.” New York Times, December 14, 2011, A20.
Rendall, Michael S., Bonnie Ghosh-Dastidar, Margaret M. Weden, Elizabeth H. Baker, and Zafar Nazarov. 2013. “Multiple Imputation for Combined-survey Estimation with Incomplete Regressors in One but Not Both Surveys.” Sociological Methods & Research 42 (4): 483–530.
Ruggles, Steven, Katie Genadek, Ronald Goeken, Josiah Grover, and Matthew Sobek. 2017. Integrated Public Use Microdata Series: Version 7.0 [CPS]. Minneapolis: University of Minnesota. https://doi.org/10.18128/D010.V7.0.
Shierholz, Heidi. 2010. “The Effects of Citizenship on Family Income and Poverty.” Economic Policy Institute Briefing Paper No. 256.
Singer, Audrey, and Greta Gilbertson. 2000. “Naturalization Under Changing Conditions of Membership: Dominican Immigrants in New York City.” In Immigration Research for a New Century: Multidisciplinary Perspectives, edited by Nancy Foner, Ruben Rumbaut, and Steven Gold, 157-186. New York: Russell Sage Press.
Taylor, Paul, Ana Gonzalez-Barrera, Jeffrey S. Passel and Mark Hugo Lopez. 2012. An Awakened Giant:The Hispanic Electorate is Likely to Double by 2030. Washington, DC: Pew Research Center.
US Citizenship and Immigration Services (USCIS). 2017. “Naturalization Fact Sheet.” uscis.gov. May 19, 2017. https://www.uscis.gov/news/fact-sheets/naturalization-fact-sheet.
US Department of Homeland Security (DHS). 2019. “Budget-in-Brief, FY 2003–2016.” DHS Budget. Updated March 18, 2019. http://www.dhs.gov/dhs-budget.
Van Hook, Jennifer, James D. Bachmeier, Donna L. Coffman, and Ofer Harel. 2015. “Can We Spin Straw into Gold? An Evaluation of Immigrant Legal Status Imputation Approaches.” Demography 52 (1): 329–54.
Van Hook, Jennifer, Susan K. Brown, and Frank D. Bean. 2006. “For Love or Money? Welfare Reform and Immigrant Naturalization.” Social Forces 85 (2): 643–66.
Watson, Tara. 2013. “Enforcement and Immigrant Location Choice.” NBER Working Paper No. 19626, National Bureau of Economic Research, Cambridge, MA.
———. 2014. “Inside the Refrigerator: Immigration Enforcement and Chilling Effects in Medicaid Participation.” American Economic Journal: Economic Policy 6 (3): 313–38.
Wong,Tom K. 2012. “287(g) and the Politics of Interior Immigration Control in the United States: Explaining Local Cooperation with Federal Immigration Authorities.” Journal of Ethnic and Migration Studies 38 (5): 737–56.
Wooldridge, Jeffrey M. 2012. Introductory Econometrics: A Modern Approach. Boston, MA: Cengage Learning.
Zong, Jie, and Jeanne Batalova. 2016. “Naturalization Trends in the United States.” Migration Policy Institute. October 10, 2016. http://www.migrationpolicy.org/article/naturalization-trends-united-states.














