Introduction
In recent years, certain state governments enacted immigration laws to supplement federal policies and immigration enforcement efforts. Approximately 2,100 state-level immigration-related legislations are enacted between 2005 and 2017 (Ramón and Brown 2018). One of these state laws is the Support Our Law Enforcement and Safe Neighborhoods Act (SB 1070) of Arizona, passed in 2010. The law became one of the country’s toughest immigration bills; it introduced a number of restrictive immigration-control provisions (Archibold 2010). The law empowers law enforcement agencies to detain anyone reasonably suspected of being an illegal immigrant. Anyone apprehended not carrying a legal-residency document is charged with a misdemeanor. Meanwhile, knowingly hiring, harboring, or transporting undocumented residents is a punishable offense.
The primary goal of SB 1070 is “attrition through enforcement,” whereby the state law becomes a means to induce undocumented immigrants to self-deport or refrain from entering the state. The law’s enforcement has strong spillover effects on the general Hispanic population of legally documented residents and citizens, even though the law was supposed to be directed at undocumented immigrants only. This claim is corroborated by previous studies that analyzed such effects on documented immigrants and American-born citizens of the same ethnic origins (e.g., Moya and Shedlin, 2008; Sabo and Lee, 2015; Philbin et al. 2018; Almeida et al., 2016).
Public health scholars contend that such spillover effects could take a toll on the mental health of the affected population (e.g., Vargas, Sanchez, and Juarez 2017, Rhodes et al. 2015, Hacker et al. 2011). Among the affected ethnic population, adolescents may be more vulnerable to SB 1070 in their mental health and health-risk behaviors compared to adults. Adolescence is a phase involving such crucial, delicate matters as brain maturity and psychological development. Any adverse external (environmental) factor during such growth episodes may undermine adolescents’ cognitive development (Steinberg 2005), risk-taking regulation (Steinberg 2004), and personality development (Roberts, Caspi, and Moffitt 2001). Thus, against the backdrop of the hostile social environment under SB 1070, Hispanic adolescents in Arizona are particularly vulnerable as the law’s stigmatizing effect on their mental state could stem from the “undocumented immigrant” prototype conditioned by the confluence of labeling, ostracism, discrimination, and stereotyping (Link and Hatzenbuehler 2016). In the ensuing social climate, Hispanic adolescents are highly prone to worrying about their family and their own rights as SB 1070 expands the policing and apprehension authority of enforcement officials. In addition, recent studies find evidence that SB 1070 reduces the probability that Hispanic communities report crimes (Hardy et al. 2012), thus making Hispanic adolescents in such communities experience serious insecurity and emotional distress.
Notably, there are already significant pre-existing disparities in mental health and health-risk behaviors between Hispanic adolescents and their peers in other ethnic groups, especially white adolescents (as shown in figure 1). A stringent immigration law such as SB 1070 could expand such disparities, thus making it all the more imperative to understand and prioritize issues related to mental health and health-risk behaviors of Hispanic adolescents.
This study applies a difference-in-differences (DID) model to data from the biennial Youth Risk Behavior Surveillance System (YRBS) to examine the impact of SB 1070 on the mental health, health-risk behaviors, and academic performances of Hispanic adolescents enrolled in school during the years 2001–17. It finds that SB 1070 increases the probability of feeling sad and induces Hispanic adolescents to reduce their physical activity. SB 1070 impacts Hispanic adolescents’ mental health. However, we find no significant impacts on academic performance, suicide contemplation, or aggressive behaviors such as engaging in physical fights in school. The results indicate that, compared to their female and non-obese counterparts, male and obese Hispanic students are more likely to externalize the pressure of immigration enforcement and engage in health-risk behaviors. Finally, the robustness checks of this study provide consistent evidence to support the credibility of the main findings by using such analytical techniques as triple-difference estimation, the synthetic control method, specification and sample-selection tests, parallel-trend tests, and other placebo tests.
Data and Empirical Methods
Data
This study utilizes data from the 2001–17 biennial YRBS. The school-based cross-sectional dataset aims to monitor the health-risk behaviors of young students and includes mental health–related indicators, such as feelings of sadness and suicidal ideation. Employing a three-stage cluster-sample design, the survey collects nationally representative samples of students in public and private schools in the United States. Certain racial-minority groups are oversampled to improve the group estimates’ accuracy, making YRBS a suitable dataset for our study of Hispanic students. Individuals included in the relevant sample are Hispanic adolescents from ninth to twelfth grade and are enrolled in school (henceforth referred to as Hispanic students) at the time of interview. A total of 68,603 observations of Hispanic students constitute the study’s sample.
The outcomes of interest are mental health indicators, such as feelings of sadness or hopelessness and contemplations on committing suicide; health-risk-behavior indicators such as involvement in physical fights in school and reduced physical activity; and an academic-performance indicator. YRBS started to collect information about physical fights in school in 2005. The information about academic performance is more sparsely collected than that on other outcomes, which is collected biennially.
The mental health indicators are of vast interest because Hispanic adolescents have worse mental health statuses (as shown in plots A and B in figure 1) compared to their peers in other racial groups. Health-risk behaviors are closely associated with mental health status, and they may be directly affected by stringent immigration policies. Finally, we are interested in academic performance because our sample suggests that a higher share of Hispanic students report poor academic performance in school compared to white and black students.
Specifically, the interviewees were asked, “During the past 12 months, did you ever feel so sad or hopeless almost every day for two weeks or more in a row that you stopped doing some usual activities?” From the responses to this question a binary variable “Feel sad” is defined that has a value of 1 if an interviewee reports having such symptom; it is 0 otherwise. This study examines another binary variable, “Consider suicide,” defined by responses to the question “During the past 12 months, did you ever seriously consider attempting, make a plan, or actually attempt suicide?” The variable equals 1 for positive responses and 0 otherwise.
The variable capturing physical fights in school is obtained from answers to the question “During the past 12 months, how many times were you in a physical fight on school property?” The variable takes a value of 1 if students report at least one incident and 0 if they report none. The physical-inactiveness variable is derived from the question “During the past 7 days, on how many days were you physically active for a total of at least 60 minutes per day?” and equals 1 if the student is consistently inactive and 0 if the student is physically active for at least a day. The last variable, measuring the academic performance of students, is based on the question “During the past 12 months, how would you describe your grades in school?” Answers run from “Mostly As” to “Mostly Fs.”1In the absence of a definition in the survey for the term “mostly,” this article considers the response to the question as indicative of the student’s “average” grade. A student with mostly F’s and D’s is a student with a relatively poor academic performance compared to students who have mostly A or B grades. We construct a binary variable of poor academic performance that has a value of 1 if students answer “Mostly Fs and Ds” and 0 otherwise. The ordinary least square (OLS) results of the binary variables are presented as the main findings while probit and ordered-probit estimates are consistent with those findings and are available upon request.
Current Comparative Trends among US Adolescent Groups
Figure 1 presents the trends of the five outcome variables for Hispanic students in the United States. For comparison, we also include the trends for white and black students.
Figure 1. Trends in mental health conditions, health-risk behaviors, and academic performance of Hispanic, white, and black youths in the United States
As can be gleaned from the plots in figure 1, Hispanic students in general are seven and six percentage points higher than white and black students, respectively, in their tendency to feel sad. These gaps do not decrease over time and indicate that Hispanic students are at a higher risk of developing mood-disruption and mental health issues compared to students of other ethnicities.
Plot B in figure 1 shows the shares of Hispanic, white, and black students who have at least considered attempting suicide. The differences in suicidal ideation across cohorts are not as large as those in having sad 6 feelings, but it is easy to see that Hispanic students are more likely to have suicidal thoughts than other students during the years 2005 to 2015.
The trends in plots C and D show the responses of Hispanic students to SB 1070 in their health-risk behaviors. Previous studies show that physically active adolescents have a higher likelihood than their inactive counterparts to maintain sound mental health (e.g., Ahn and Fedewa 2011; Biddle and Asare 2011). The association between mental health and physical activeness suggests that the affected Hispanic students may reduce their involvement in physical activities as a result of deteriorating mental health. In turn, becoming less involved in physical activities undermines mental health. Plot C shows that the overall level of physical inactiveness of students of all ethnicities decreased till 2011 and remained at that level. Hispanic students, however, are in general less active than white students. Therefore, it is important to draw the connection between the decline in physical activity among Hispanic students and stringent immigration policies.
An earlier study by Brooks et al. (2002) confirms that stress from a hostile environment could be manifested in more aggressive behaviors that could lead to, among other things, physical fights in school. As a result, the enforcement of SB 1070 may worsen mental health and encourage physical fights among Hispanic students. Results in plot D indicate that the involvement of Hispanic students in physical fights decreases over time but the gap between Hispanic and white students persists.
Academic performance is examined in plot E to ascertain a Hispanic student’s probability of poor academic performance in school. The trends in plot E indicate that Hispanic students tend to perform worse than white and black students. The share of poorly performing Hispanic students is almost twice as high as the shares of white and black students.
This study utilizes spatial and temporal differences in outcomes to investigate the impact of SB 1070 on Hispanic students. In this analysis, Arizona is the treated state (it adopted SB 1070 in 2010); the rest of the states, except Alaska and Hawaii, are used as controlled states for comparison. As a robustness check, we conduct sample-selection tests by choosing different sets of states to construct the comparison group. First, we use the states in the South and Southwest that have a relatively large Hispanic share of the population (comparable to Arizona’s share) to construct the comparison cohort. Second, we use the states that share a border with Arizona as control states. Third, we include in the control sample the states that have a relatively high immigrant share of the population based on statistics obtained from the Pew Hispanic Center (2011). We present these results in table 2 with the main results.
We first explore preliminary evidence by comparing the outcomes of Arizona and states that did not adopt SB 1070 (“comparison states”). Panel A in table 1 provides the summary statistics of the dependent variables for Arizona and the comparison states. Columns 1 and 2 in table 1 show an increase in 2011 in the share of Hispanic students who felt sad in Arizona. Meanwhile, columns 3 and 4 indicate no change in that variable in comparison states. A comparison of these outcomes suggests that the adoption of SB 1070 may have increased Hispanic students’ probability of feeling sad. The estimate of SB 1070’s impact on suicide contemplation is not notable given the small change in Arizona and comparison states.
Panel A also shows Hispanic students in Arizona were involved in fewer physical fights in school after the adoption of SB 1070. However, the result is mirrored in the results for Hispanic students in comparison states as shown in columns 3 and 4. This comparison suggests little impact of SB 1070 on physical fighting. We see a slight decrease (0.23 to 0.22) in the shares of physically inactive Hispanic students in Arizona before and after 2010; however, a larger decrease in the same metric registered in other states (0.27 to 0.16) for the same period suggests that there was an overall decline in physical activity among Hispanic students in all states. The smaller decrease in physically inactive level for Arizona’s Hispanic students suggests that some factors were holding these students from becoming less physically inactive (more physically active) compared to their Hispanic peers in other states. Finally, we show the share of Hispanic students who reported poor academic performance in the last row of panel A in table 1. The decrease in the share appears in both Arizona and comparison states, thus demonstrating that the adoption of SB 1070 had no significant repercussions for the academic performances of Hispanic students.
The results from panel A of table 1 show that SB 1070 has induced Hispanic students to develop feelings of sadness and become physically inactive. To provide robust estimates, we introduce a series of covariates into a difference-in-differences model in order to control for the confounding impacts from demographics, other immigration policies, and real business cycles. We present the summary statistics of explanatory variables in panel B in table 1.
In addition to demographic characteristics such as age and gender, we include two more sets of covariates in the model. The first set of covariates includes other immigration-related policies such as E-verify mandates, the 287(g) agreement, and the Secure Communities program across states and counties. E-verify mandates require employers to verify the employment eligibilities of newly hired workers through a free online system provided by the federal government. If an employee is deemed undocumented and thus ineligible to work, employers have to terminate the employee. So far, eight states require all employers to use the E-verify system. The 287(g) agreement is a program of Immigration and Customs Enforcement that forges collaboration between federal immigration authorities and local police officers to enforce immigration laws within their local communities. Finally, Secure Communities is a Department of Homeland Security program that gives Immigration and Customs Enforcement a technological presence in prisons and jails to assist in identifying deportable immigrants in these facilities. While 287(g) deputizes local police officers to enforce immigration laws, Secure Communities does not. Given the mental health impacts of those immigration policies found in previous studies (e.g., Hardy et al. 2012; McLeigh 2010; Hatzenbuehler et al. 2017), we control for such programs in our model. Moreover, we control for the shares of likely-undocumented immigrants in each state as constructed based on Current Population Survey data following the definition of likely-undocumented immigrants in the study of Amuedo-Dorantes and Bansak (2014).
Table 1. Summary statistics of dependent and independent variables
Notes: Pre-treatment period is from 2001 to 2009; post-treatment period is from 2011 to 2017. The baseline category for age is 13 years old. The baseline category for the grade is 9th grade.
The second set of covariates controls for the impact of the real business cycle. In addition to the state and year fixed effects, we include in the model the state-level unemployment rate, real GDP per capita, real government expenditure per capita, and the employment rate specific to the construction sector, which was the hardest-hit industry during the Great Recession in 2008. The bottom rows in table 1 show that compared to other states, Arizona has a higher unemployment rate, lower real GDP per capita, and lower government expenditure. It is important to control for these macro-level variables because they impact state residents’ mental health (Zivin, Paczkowski, and Galea 2011) and health behaviors (Xu 2013). As a robustness check, we present the results of regressions without these covariates. The results are consistent through different specifications. We apply the individual weights provided by the YRBS dataset to the estimation; the standard errors are clustered at the state level.
Note that the effects might be understated if there was a large-scale school drop-out of Hispanic students in the wake of the adoption of SB 1070. Environmental risk factors (such as experiences of discrimination) are associated with the school dropout rate (Martinez, DeGarmo, and Eddy 2004; DeGarmo and Martinez 2006; Santos and Menjivar 2013). We examine the impact of SB 1070 on the share of Hispanic students compared to students of other ethnicities and find little evidence that Hispanic school drop-outs have radically modified the ethnic composition of student bodies in Arizona schools. Even under the assumption of a large-scale Hispanic school drop-out, the results of this study still provide informative lower-bound estimates of SB 1070’s impact on the mental health, health-risk behaviors, and academic performance of Hispanic students.
Empirical Models
This study treats the adoption of SB 1070 in Arizona as a quasi-natural experiment to examine the impact of stringent immigration enforcement. We construct a DID model as follows:
(1)
is a dummy variable that equals 1 if an interviewee
in state
and year
reports having sad feelings, having at least considered suicide, having been involved in physical fights in school, having been physically inactive, and having poor academic performance; otherwise it takes a value of 0. SB1070 is a dummy variable with the value of 1 if a student is in Arizona after the adoption of SB 1070 in 2010.
is a vector of control variables.
is the state fixed effect,
is the year fixed effect, and
is the error term.
To validate the estimates of the model in equation 1, we provide parallel pre-trend tests. The parallel pretrend assumption requires that after controlling for other covariates, the adoption of SB 1070 is independent of unobservable factors that may correlate with the mental health of Hispanic students. The assumption requires that the treatment group and the control group exhibit similar trends, and thus are parallel, in the pretreatment period. We modify the model by replacing the treatment variable SB1070 with a full set of leads and lags in the regression model presented as follows:
(2)
The model of the pre-trend test has leads and
lags, and
suggests the dynamic impact of the adoption of SB 1070. We test the null hypothesis that there is no significant difference between the trends in the probability of having mental health issues among Hispanic students in the treatment group in Arizona and in the control group before SB 1070’s adoption. The required condition is that the estimate of
before the adoption should not be significantly different from zero.
is a vector of other controls. A battery of state and year fixed effects are controlled for in equation 2.
is the error term.
We also apply triple differences and the synthetic control method in the robustness checks to bolster the reliability of our main findings. We explain these methods in the robustness-check section.
Empirical Results
DID Estimates
The DID estimates of SB 1070’s impacts on the Hispanic student population are reported in table 2. The results in column 1, panel A show that the probability of Hispanic students feeling sad in Arizona is 6.3 percentage points higher than that of their Hispanic peers in other states after the adoption of SB 1070. However, the former group does not have a higher likelihood of contemplating committing suicide compared to the Hispanic youth population in other states (column 1, panel B). In other words, although SB 1070 may inflict some adverse emotional, mental harm on Hispanic students in Arizona, this harm is manifested through a higher probability of feeling sad but not necessarily suicide ideation.
Estimates in panels C and D relate to the health-risk behavior of Hispanic students in the wake of SB 1070’s adoption. SB 1070’s impacts on physical inactiveness are both statistically and economically significant. Hispanic students affected by SB 1070 exhibit a decrease of sixteen percentage points in the probability of being physically active for at least one day per week. This result is consistent with Martinsen (1990) finding of a link between impaired mental health and diminished physical health. SB 1070 may also directly discourage physical activity because some Hispanic students, particularly those closely associated with undocumented immigrants, may choose to avoid public places and encounters with police officers. Reduced physical activity in turn damages the overall emotional state (Steinberg et al. 1997) and leads to other mental health symptoms (Pate et al. 1995). Finally, we find no overwhelming evidence to support the contention that SB 1070 could adversely affect the academic performance of Hispanic students (panel E).
Table 2. Estimates of SB 1070’s impact on Hispanic students
Note: The linear probability model is applied to dependent variables, which are dummy variables that equal 1 if a youth interviewee reports the described mental health syndromes and risk behaviors and equal 0 otherwise. Other covariates include gender, grade, age, height, state fixed effect, year fixed effect, E-verify status, 287(g) status, Secure Communities program status, state unemployment rate, real GDP per capita, real government spending per capita, state construction-industry unemployment rate, and the share of likely-undocumented immigrants. Covariates may vary by specification and sample selection. Models are weighted by the weight of YRBS Huber-White robust standard errors are clustered at the state level. **p < 0.05 and ***p < 0.01.
Column 1 of table 2 reports the estimates for the preferred DID models used in this study. To examine the robustness of our findings, we conduct regressions with different specifications and varied selections of comparison states. Columns 2 and 3 present the estimates of SB 1070 with different model specifications that exclude as controls the real business cycle and other immigration policy variables. The estimates of feeling sad and physical activeness have significance levels and magnitudes similar to the main results. Meanwhile, the probabilities of contemplating suicide, involvement in physical fights, and poor academic performance remain unchanged in these more parsimonious specifications.
Column 4 runs the DID regression with a state-specific linear time trend to further validate the robustness of our results. The addition of a state-specific time trend helps detect possible correlation between the trends of mental health and health-risk behaviors of Hispanic students in the control state and in Arizona after the introduction of SB 1070. A significant estimate after including the state-specific time trend indicates an abrupt change in the mental health and health-risk behaviors among Hispanic students in Arizona after 2010. The feeling-sad and physical-inactivity estimates of column 4 in table 2 remain statistically significant and have comparable magnitude to those of the main specification, indicating a large and adverse SB 1070 impact on Hispanic students.
Columns 5 to 7 show the robustness check for examining the consistency of results using different sample selections. We construct comparison groups by including only southern and southwestern states that have a high Hispanic share of the population; states that have a large immigrant population; and states that share a border with Arizona. The conclusion remains the same with some estimates increasing slightly in magnitude. We still conclude that SB 1070 increases the probability of developing sad feelings and decreases physical activity among Hispanic students in Arizona.
Dynamic DID Estimates
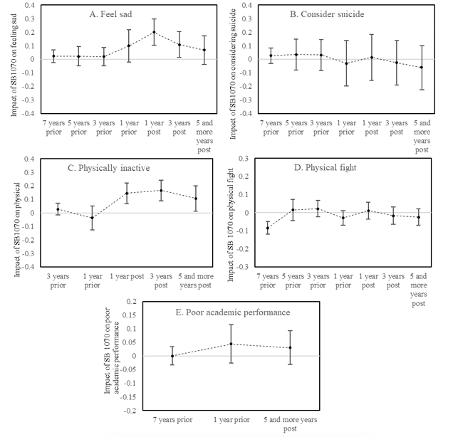
The reliability of our estimates depends on the assumption of parallel pre-trends. By constructing a dynamic DID model, we can test the assumption and assess how long the policy’s impact lasts after its adoption. Figure 2 shows the dynamic impacts of SB 1070 on mental health and other outcomes for Hispanic students by year before and after the adoption. The vertical bands in figure 2 are calculated by multiplying the standard error of each year estimate by 1.96, which represents a significance level of 5 percent.
First, as shown in the figure, the trends of outcomes during the pretreatment period are not significantly different from each other. The matched pre-trends validate our DID findings and ensure that the gaps between Arizona and the comparison state in various outcomes after the adoption of SB 1070 are not likely the result of a state trend or other factors.
Figure 2. Differences-in-differences dynamic estimates of SB 1070’s impact on Hispanic students
Plot A in figure 2 shows that the impact of SB 1070 on the Hispanic students’ feeling of sadness is statistically significant at least for four years (including the year of adoption) after its adoption. The deteriorating impact is understandable as enforcement may decrease over the years and as the Hispanic population may gradually adapt to the prevailing social environment created by SB 1070. Moreover, we find a lasting impact from SB 1070 on the physical inactiveness of Hispanic students in plot D of figure 2. The probability of Hispanic students being physically active for at least one day per week falls by approximately 11.9 percentage points in the first year after the adoption; this impact does not change much even six years later, and the figure is about 11.1 percentage points in 2017. Physical activities may be constantly limited by the presence of police officers in public places or the lack of outdoor resources in Hispanic communities. Moreover, reducing physical activities to a low level may lead students to a habitual lack of physical exercise, thus explaining the persisting lower level of physical activities among Hispanic students after SB 1070. The dynamic estimates of the other three outcomes are in line with the estimates in table 2 that SB 1070 has little effect on these aspects of the Hispanic students’ lives. However, even with their insignificant influence, these variables must not be immediately dismissed as unaffected by SB 1070.
Heterogeneity Analysis
To examine the impact of SB 1070 on subsamples with different characteristics and provide more specific policy implications on which subpopulations are more responsive to immigration-policy enforcement, we divide the sample by gender (male and female) and obesity status (non-obese and obese).
The results in columns 1 and 2 of table 3 indicate that only male Hispanic students are affected by the adoption of SB 1070 in their sad feelings. Male Hispanic students have an increased probability of feeling sad of 13.8 percentage points. That tendency could be due to such students’ higher likelihood of being more sensitive to discriminatory situations (Santos et al. 2018), making them more likely to feel the stigmatizing impact of SB 1070. The impacts of SB 1070 on physical activeness are quite similar for both gender groups.
Table 3. Estimates of heterogeneous impacts of SB 1070 on Hispanic students
Note: The linear probability model is applied to dependent variables, which are dummy variables that equal 1 if a youth interviewee reports the described mental health syndromes and risk behaviors and 0 otherwise. Other covariates include gender, grade, age, height, state fixed effect, year fixed effect, E-verify status, 287(g) status, Secure Communities program status, state unemployment rate, real GDP per capita, real government spending per capita, state construction-industry unemployment rate, and the share of likely-undocumented immigrants. The covariates may vary for each dependent variable. Models are weighted by the weight of YRBS. Huber-White robust standard errors are clustered at the state level. **p < 0.05 and ***p < 0.01.
We are interested in examining the obesity factor in assessing SB 1070’s impact because obesity has been found to be a major risk factor for mental health issues and behavioral problems (Erermis et al. 2004). Moreover, even as Wardle and Cooke (2005) admit that obesity does not have a uniform adverse effect on self-esteem on all affected children, there could possibly be some effect, however, on some more vulnerable subgroups. Finally, obesity could be an indicator of general health status given the relationship between adolescent obesity and health (Swallen et al. 2005). The heterogeneous estimates in columns 5 and 6 suggest that SB 1070 imposes a larger adverse impact on obese Hispanic students. The probability of these students feeling sad increases by 36 percentage points while their physical activity falls by 17.2 percentage points. We also find that obese Hispanic students have an increased probability of being involved in physical fights. Tso et al. (2018) find that obese adolescents are usually more physically aggressive than their healthier (non-obese) counterparts. As a result, it is not surprising to find that the adoption of SB 1070 causes obese Hispanic students to exhibit a higher probability of being involved in physical fights in school.
Robustness Check
Triple-Difference Model
This study uses the white student population as an additional comparison group. We use interaction terms between the SB 1070 dummy and Hispanic-origin indicator to obtain the triple-differences estimates. The specification of the model is as follows:
(3)
In addition to the covariates that are controlled for in equation 1, includes control variables such as state-Hispanic fixed effect, year-Hispanic fixed effect, and year-by-state fixed effects. The year-Hispanic fixed effect controls for changes that could have different impacts on the Hispanic and white youth populations. The state-Hispanic fixed effect controls for the time-invariant differences among states that could affect mental health. The state- and year-variant shocks that affect all cohorts are controlled for by adding the year-by-state effects.
Before using the white student population as another comparison group, we must ascertain that this group’s mental health and social behaviors are not affected by SB 1070. We apply the same DID model in equation 1 on the white student group and report the estimates in column 1 of table 4. The resulting estimates confirm that none of the SB 1070 impact estimates for white students are significant, indicating that the adoption of the law, as expected, does not harm the white student population. Thus, using white students as another control group can further help to control for the trends within a state that are experienced by both cohorts and single out the changes in mental health and health-risk behaviors that occur only among the Hispanic youth population.
Table 4. Triple-difference estimates of SB 1070’s impact
Note: The linear probability model is applied to dependent variables, which are dummy variables that equal 1 if a youth interviewee reports the described mental health syndromes and risk behaviors and 0 otherwise. Other covariates include gender, grade, age, height, Hispanic status, state fixed effect, year fixed effect, E-verify status, 287(g) status, Secure Communities program status, state unemployment rate, real GDP per capita, real government spending per capita, state construction-industry unemployment rate, and the share of likely-undocumented immigrants. Triple-differences models in column 2 to 5 also include state-Hispanic fixed effect, year-Hispanic fixed effect. Models are weighted by the weight of YRBS. Huber-White robust standard errors are clustered at the state level. **p < 0.05 and ***p < 0.01.
Columns 2 to 5 in table 4 show the triple-difference model’s results for the impact of SB 1070 on Hispanic students. Results from different specifications indicate that after the introduction of SB 1070, the Hispanic student population in Arizona becomes more likely to feel sad. Further, panel B suggests that SB 1070 causes the probability of contemplating suicide to escalate. After the adoption of SB 1070, Hispanic students in Arizona become 5.6 percentage points more likely to consider suicide compared to their white peers and Hispanic students in other states. This result strengthens the conclusion that SB 1070 has harmed the mental health of Hispanic students. We find that the estimates for poor academic performance are significant, suggesting that in the wake of SB 1070’s adoption, the academic performance of Hispanic adolescents is more likely to deteriorate compared to that of white students in and out of the state.
The estimate in panel C of physical activeness of Hispanic students is consistent with the main result. We do not find significant impacts of SB 1070 on physical fighting in school in panel D, which is consistent with results reported in table 2. The findings in our study using both DID and triple-difference models suggest that SB 1070 has an adverse impact on the Hispanic youth population. The models’ conclusions imply that without proper intervention, stricter immigration enforcement that involves possible racial profiling aggravates the mental health and health-risk behaviors of Hispanic students, thus causing more severe psychological problems as these students enter into adulthood.
Synthetic Control Method
In recent years, the synthetic control method was developed by Abadie, Diamond, and Hainmueller (2010) as an alternative way to investigate the event impact of a single-unit treatment. Based on a combination of control units, the synthetic control method uses a data-driven algorithm to construct a counterfactual unit that shares similar trends of pre-treatment outcomes with the treated unit. A gap in the post-treatment trends between the treated and synthetic units thus presents the treatment impact.
Figure 3. Trends in mental health, health-risk behavior, and academic-performance outcomes of Hispanic students: Arizona and synthetic Arizona
The covariates chosen for predicting the outcomes are aggregated at the state level. These include the share of likely-undocumented immigrants, the Hispanic share of the population, the state unemployment rate, real government spending per capita, real GDP per capita, 287(g) status, E-verify status, and the lagged outcome variables from the pre-treatment period. The synthetic control method assigns weights to each covariate, with a larger weight indicating a higher predicting power of a predictor. Moreover, weights are also assigned to each state in the control group and the states that receive a positive weight are used to construct a synthetic-Arizona group of states that share the same set of characteristics but do not adopt SB 1070.
The plots for each outcome are presented in figure 3; the estimates are summarized in table 5. Plots A and C in figure 3 show clear gaps between Arizona and synthetic Arizona in the trends of feeling sad and physical inactivity among Hispanic students. Meanwhile, we find no large discrepancies in the other three outcomes, thus suggesting a limited impact from SB 1070. Table 5 presents the numerical estimates of the visual gap and the p-value for each estimate.2 The p-value estimates are calculated based on the distribution of the estimates for Arizona and placebo states. Bohn, Lofstrom, and Raphael (2014) start calculating the p-value by generating a set of all E-verify impact estimates of the treated and placebo states. Given the distribution of the impact estimates that are real and placebo, a one-tailed test was conducted to find the probability that a placebo state exists that has a posttreatment gap larger than that of the treated state. See Bohn, Lofstrom, and Raphael (2014) for more details. As can be gleaned from the results, the synthetic-controlmethod estimates for feeling sad and physical inactiveness are 0.097 and 0.114, respectively, and both are statistically significant at the 5 percent level. These results are consistent with the DID estimates in table 2, which are 0.077 and 0.17, respectively. Moreover, the results in figure 3 are in line with the event-study results (figure 2) that indicate a lasting SB 1070 impact on feelings of sadness and of physical inactiveness among Hispanic students.
Table 5. The synthetic control estimates of SB 1070 impact on Hispanic students
Notes: The covariates included in the synthetic-control-method estimation are the share of likely-undocumented immigrants, the share of the Hispanic population, the state unemployment rate, real government spending per capita, real GDP per capita, 287(g) status, E-verify status, and a complete set of lagged values of the outcome variables from the pretreatment period. The average differences in the first two columns are calculated by subtracting the outcome estimates for synthetic Arizona from those for Arizona. The p-value estimates are calculated based on the distribution of the estimates for Arizona and other placebo states. **p < 0.05 and ***p < 0.01.
Placebo SB 1070 Years and States
Figure 4. Estimates for the placebo SB 1070 years
Figure 4 presents the estimates of the impacts of placebo SB 1070 years. We reallocate the SB 1070 year to other years in the pretreatment period and examine whether there is any significant change when we assume that SB 1070 was enacted in these placebo years. As shown in figure 4, all estimates are statistically insignificant in the placebo adoption year, which suggests that there is no notable change in mental health and health-risk behaviors in the placebo years in Arizona.
In addition, we run placebo-state tests by using other states in the control group as placebo treated states and run a model similar to that in equation 1. Most of the placebo states return insignificant estimates of SB 1070’s impact, and the few placebo states showing significant SB 1070 impacts fail the parallel pretrend test.
Conclusions
This study provides evidence on the emotional vulnerability of Arizona’s Hispanic adolescent population in the social environment following the adoption of SB 1070, the state’s immigration-control policy supplementing existing federal regulations. These adverse effects are primarily manifested in Hispanic adolescents’ increasing propensity to feel sad and avoid (or minimize) physical activity. Hence, this paper draws attention to further research efforts that identify and explore remedial actions that may be geared toward (1) tempering the immigration law’s stern provisions, especially those that encourage racial profiling, or (2) launching support programs aimed at curbing the negative psychological and emotional effects of the law. Greater care and attention should be directed toward Hispanic adolescents while they are in such a delicate developmental phase when mental and psychological health conditions shape their adult lives (Thorsen and Pearce-Morris 2016).
This study’s policy implications cannot be understated. Regardless of a person’s stance in ongoing immigration policy discussions, this study provides a clear reminder of the basic tenet of government policy making whereby any policy’s real intention should always be the citizens’ welfare. Using SB 1070 as an example, overly restrictive immigration policies and enforcement efforts may eventually encourage racial profiling. For example, the law’s provisions involving the law enforcement authorities’ forming of “reasonable suspicion” and apprehension of those aiding undocumented immigrants could easily lead to immigration-control efforts directed primarily at a specific racial or ethnic group. When this happens, some unintended consequences are inflicted upon the legally documented permanent residents and citizens of the seemingly targeted ethnic or racial group. These unfortunate repercussions include social awkwardness and such negative feelings as sadness, fear, and paranoia. When a law brings discomfort, harm, and other negative repercussions to any segment of the population, changes and adjustments are needed. This study’s findings help establish and confirm the urgency of such need.
If existing immigration provisions cannot be dislodged, then federal and state governments must launch adequate and effective mental health–assistance programs for the affected residents. Moreover, statewide social programs can be held that emphatically reinforce the importance of the vulnerable ethnic groups, most especially the adolescent. The state government should also consider creating social events promoting diversity and encouraging meaningful co-existence among racial groups.
References
Ahn, S., and A. L. Fedewa. 2011. “A Meta-analysis of the Relationship between Children’s Physical Activity and Mental Health.” Journal of Pediatric Psychology 36 (4): 385–97.
Amuedo-Dorantes, C., and C. Bansak. 2014. “Employment Verification Mandates and the Labor Market Outcomes of Likely Unauthorized and Native Workers.” Contemporary Economic Policy 32 (3): 671– 80.
American Psychiatric Association. 2017. “Mental Health Disparities: Diverse Populations.” Accessed on August 1, 2018. https://www.psychiatry.org/psychiatrists/cultural-competency/mental-health-disparities.
Almeida, J., K. B. Biello, F. Pedraza, S. Wintner, and E. Viruell-Fuentes. 2016. “The Association between Anti-immigrant Policies and Perceived Discrimination among Latinos in the US: A Multilevel Analysis.” SSM-Population Health 2: 897–903.
Archibold, R. 2010. “Arizona Enacts Stringent Law on Immigration.” New York Times, 29.
Bohn, S., M. Lofstrom, and S. Raphael. 2014. “Did the 2007 Legal Arizona Workers Act Reduce the State’s Unauthorized Immigrant Population?” Review of Economics and Statistics 96 (2): 258–69.
Biddle, S. J., and M. Asare. 2011. “Physical Activity and Mental Health in Children and Adolescents: A Review of Reviews.” British Journal of Sports Medicine 45 (11): 886–95.
Brooks, T. L., S. K. Harris, J. S. Thrall, and E. R. Woods. 2002. “Association of Adolescent Risk Behaviors with Mental Health Symptoms in High School Students.” Journal of Adolescent Health 31 (3): 240– 46.
Das Gupta, M. 2014. “‘Don’t Deport Our Daddies’: Gendering State Deportation Practices and Immigrant Organizing.” Gender and Society 28 (1): 83–109.
DeGarmo, D. S., and C. R. Martinez Jr. 2006. “A Culturally Informed Model of Academic Well-Being for Latino Youth: The Importance of Discriminatory Experiences and Social Support.” Family Relations 55 (3): 267–78.
Erermis, S., N. Cetin, M. Tamar, N. Bukusoglu, F. Akdeniz, and D. Goksen. 2004. “Is Obesity a Risk Factor for Psychopathology among Adolescents?” Pediatrics International 46 (3): 296–301.
Hardy, L. J., C. M. Getrich, J. C. Quezada, A. Guay, R. J. Michalowski, and E. Henley. 2012. “A Call for Further Research on the Impact of State-Level Immigration Policies on Public Health.” American Journal of Public Health 102 (7): 1250–53.
Hatzenbuehler, M. L., S. J. Prins, M. Flake, M. Philbin, M. S. Frazer, D. Hagen, and J. Hirsch. 2017. “Immigration Policies and Mental Health Morbidity among Latinos: A State-Level Analysis.” Social Science & Medicine 174: 169–78.
Hacker, K., J. Chu, C. Leung, R. Marra, A. Pirie, M. Brahimi, M. English, J. Beckmann, D. AcevedoGarcia, and R. P. Marlin. 2011. “The Impact of Immigration and Customs Enforcement on Immigrant Health: Perceptions of Immigrants in Everett, Massachusetts, USA.” Journal of Social Science and Medicine 73, no. 4: 586–94.
Kandel, D. B., V. H. Raveis, and M. Davies, M. 1991. “Suicidal Ideation in Adolescence: Depression, Substance Use, and Other Risk Factors.” Journal of Youth and Adolescence 20 (2): 289–309.
Link, B., and M. L. Hatzenbuehler. 2016. “Stigma as an Unrecognized Determinant of Population Health: Research and Policy Implications.” Journal of Health Politics, Policy and Law 41 (4): 653–73.
Martinez, C. R., Jr., D. S. DeGarmo, and J. M. Eddy. 2004. “Promoting Academic Success among Latino Youth.” Hispanic Journal of Behavioral Sciences 26 (2): 128–51.
Martinsen, E.W. 1990. “Benefits of Exercise for the Treatment of Depression.” Sports Medicine 9 (6): 380-389.
Media Matters for America. 2010. “Shep Smith Calls AZ Immigration Law the ‘Breathing while Latino Law,’ Says It Sounds a Lot Like the Old ‘Driving while Black Law.’” April 27. http://mediamatters.org/video/2010/04/27/shep-smith-calls-az-immigration-law-the-breathi/163856.mo.
Moya, E. M., and M. G. Shedlin. 2008. “Policies and Laws Affecting Mexican-Origin Immigrant Access and Utilization of Substance Abuse Treatment: Obstacles to Recovery and Immigrant Health.” Substance Use & Misuse 43 (12–13): 1747–69.
McLeigh, J. D. 2010. “How Do Immigration and Customs Enforcement (ICE) Practices Affect the Mental Health of Children?” American Journal of Orthopsychiatry 80 (1): 96.
Pate, R. R., M. Pratt, S. N. Blair, W. L. Haskell, C. A. Macera, C. Bouchard, and A. Kriska. 1995. “Physical Activity and Public Health: A Recommendation from the Centers for Disease Control and Prevention and the American College of Sports Medicine.” JAMA 273 (5): 402–7.
Pew Hispanic Center. 2011. Statistical Portrait of the Foreign-Born Population in the United States, 2009. Washington, DC: Pew Hispanic Center.
Pham, H., and P. Hoang Van. 2014. “Measuring the Climate for Immigrants: A State-by-State Analysis.” In Strange Neighbors: The Role of States in Immigration Policy, edited by G. J. Chin and C. Hessick, 21–40. New York: New York University Press.
Philbin, M. M., M. Flake, M. L. Hatzenbuehler, and J. S. Hirsch. 2018. “State-Level Immigration and Immigrant-Focused Policies as Drivers of Latino Health Disparities in the United States.” Social Science & Medicine 199: 29–38.
Paluska, S. A., and T. L. Schwenk. 2000. “Physical Activity and Mental Health.” Sports Medicine 29 (3): 167–80.
Ramón, C., and T. C. Brown. 2018. “An Immigration Patchwork in the States: How Partisanship, Regionalism, and Shifting Priorities Impact State Immigration Laws.” Bipartisan Policy Center. https://bipartisanpolicy.org/report/an-immigration-patchwork-in-the-states-how-partisanship-regionalism-and-shifting-priorities-impact-state-immigration-laws/
Rhodes, S., L. Mann, F. M. Siman, E. Song, J. Alonzo, M. Downs, E. Lawlor, et al. 2015. “The Impact of Local Immigration Enforcement Policies on the Health of Immigrant Hispanic/Latinos in the United States.” American Journal of Public Health 105 (2): 329–37.
Roberts, B. W., A. Caspi, and T. E. Moffitt. 2001. “The Kids Are Alright: Growth and Stability in Personality Development from Adolescence to Adulthood.” Journal of Personality and Social Psychology 81 (4): 670.
Sabo, S., and A. E. Lee. 2015. “The Spillover of US Immigration Policy on Citizens and Permanent Residents of Mexican Descent: How Internalizing ‘Illegality’ Impacts Public Health in the Borderlands.” Frontiers in Public Health 3: 155.
Santos, C. E., and C. Menjívar. 2013. “Youths’ Perspective on Senate Bill 1070 in Arizona: The Socioemotional Effects of Immigration Policy.” Association of Mexican American Educators 7 (2): 7–17. http://amaejournal.utsa.edu/index.php/amae/article/viewFile/138/116.
Steinberg, L. 2004. “Risk Taking in Adolescence: What Changes, and Why?” Annals of the New York Academy of Sciences 1021 (1): 51–58.
Santos, C. E., C. Menjívar, R. A. VanDaalen, O. Kornienko, K. A. Updegraff, and S. Cruz. 2018. “Awareness of Arizona’s Immigration Law SB1070 Predicts Classroom Behavioural Problems among Latino Youths during Early Adolescence.” Ethnic and Racial Studies 41 (9): 1672–90.
Santos, C. E., and K. A. Updegraff. 2014. “Feeling Typical, Looking Typical: Physical Appearance and Ethnic Identity among Mexican-Origin Youth.” Journal of Latina/o Psychology 2 (4): 187–99.
Steinberg, L. 2005. “Cognitive and Affective Development in Adolescence.” Trends in Cognitive Sciences 9 (2): 69–74.
Steinberg, H., E. A. Sykes, T. Moss, S. Lowery, N. LeBoutillier, and A. Dewey. 1997. “Exercise Enhances Creativity Independently of Mood.” British Journal of Sports Medicine 31 (3): 240–45.
Swallen, K. C., E. N. Reither, S. A. Haas, and A. M. Meier. 2005. “Overweight, Obesity, and HealthRelated Quality of Life among Adolescents: The National Longitudinal Study of Adolescent Health.” Pediatrics 115 (2): 340–47.
Thorsen, M. L., J. Pearce-Morris. 2016. “Adolescent Mental Health and Dating in Young Adulthood.” Society and Mental Health 6 (3): 223–245.
Tso, M. K., B. Rowland, J. W. Toumbourou, and B. L. Guadagno. 2018. “Overweight or Obesity Associations with Physical Aggression in Children and Adolescents: A Meta-analysis.” International Journal of Behavioral Development 42 (1): 116–31.
Vargas, E. D., G. R. Sanchez, and M. Juárez. 2017. “Fear by Association: Perceptions of Anti-immigrant Policy and Health Outcomes.” Journal of Health Politics, Policy and Law 42 (3): 459–83. Wardle, J., and L. Cooke. 2005. “The Impact of Obesity on Psychological Well-Being.” Best Practice & Research Clinical Endocrinology & Metabolism 19 (3): 421–40.
Xu, X. 2013. “The Business Cycle and Health Behaviors.” Social Science & Medicine 77: 126–36.
Zivin, K., M. Paczkowski, and S. Galea. 2011. “Economic Downturns and Population Mental Health: Research Findings, Gaps, Challenges and Priorities.” Psychological Medicine 41 (7): 1343–48.



Health Economics
Arizona Daily Star
Arizona Public Media







