Introduction
In what way can established immigrant communities serve to promote economic development? A number of recent works have demonstrated that high-skilled immigrants can promote knowledge and technology transfer (Hornung, 2014), improve human capital (Kerr and Lincoln, 2010; Hunt and Gauthier-Loiselle, 2010; Moser et al., 2014; Rocha et al., 2017),1Although they might also displace domestic knowledge producers (Borjas and Doran, 2012). and impact on growth more generally through patenting (Akcigit et al., 2017b,a).2Somewhat related to this, Hunt and Gauthier-Loiselle (2010) show that immigration can have a positive effect on economic growth by fostering innovation. However, none of these studies have touched on the impact an existing migrant community can have on the adoption of technology in the wake of significant developments in their country of origin. The present work presents just such an example, where the small Danish settlements established in the United States before 1880 came to play an important role for spreading information on subsequent radical changes that were taking place in Danish agriculture, and dairying in particular. Our hypothesis is that Danish communities in the United States facilitated the spread of information on the revolutionary changes in dairying that were taking place at home.
To investigate this, we exploit the exogeneity of the pre-1880 Danish settlements, which were presumably established with no knowledge of advances in Denmark which were only to come about subsequently. Thus, in a difference-in-differences framework, we find that the areas “treated” with more Danes are associated with both a greater specialization in dairying, and the use of more advanced technologies before the First World War. In fact, the association between these areas (largely in the Midwest) and dairying can even be detected after the Second World War.3Rauch and Trindade (2002) and Ammon and Baiardi (2018) provide another example of unanticipated economic gains from migration decades after arrival. These studies demonstrate that countries with ethnic Chinese communities see an important impact on trade with each other. This is especially interesting given the importance of trade with China today, and the fact that the Chinese were the first ethnic group to be specifically discriminated against in the United States under the Chinese Exclusion Act of 1882. We also attempt to pin down the mechanism. We compare the importance of the immigration of “relevant” Danes (i.e., those with a background in dairying) to the spread of information about modern dairying through contact with Denmark. For the latter, we exploit data from the Danish emigration registers on return migrants (i.e., Danish-Americans who came back to Denmark for some time) and combine this with evidence from contemporary Danish language newspapers published in the US. Consistent with our prior, we find that the information channel is by far the most important. Thus, our work is closely related to and yet contrasts with that of Hornung (2014), who demonstrates how high-skilled immigration of Huguenots to Prussia led to a diffusion of technology and higher productivity in the textile sector of that country.4See also Fourie and von Fintel (2014) on the effects of Huguenot migration on wine production in South Africa and Frost (2002), who finds a beneficial effect of Chinese immigrants on Australian agriculture between 1850 and 1920, including among farmers of European descent. In our case, this was not primarily a story of expert migrants bringing benefits to their destination country, but rather an example of how existing migrant communities can play an important role for the spread of knowledge and technology from abroad, although they certainly later also attracted skilled labor from home. The present work also relates to work by Kantor and Whalley (2019), who measure local ideas by the proximity to US federal agricultural experiment stations, finding that this explains regional agricultural productivity. They make the important point that it can often be difficult to measure knowledge flows, since they are typically not geographically constrained, although agriculture is an exception. We provide further evidence for this, but with the additional angle that this can be facilitated by migrant settlements as well as federal agencies.
Danish agriculture developed rapidly from the 1880s with the emergence of a modern dairy industry,which many consider to have been a decisive factor in that country’s catch up with the richest countries of the time (for a brief account, see Henriksen (1993)). Previous work (Lampe and Sharp (2019); Boberg-Fazlic et al. (2020)) has demonstrated that this rested on developments since the eighteenth century, when an agricultural elite from northern Germany5Specifically the Duchies of Holstein and Schleswig, which until 1864 were joined in personal union to Denmark under the Danish king. introduced new methods, including centralized butter making facilities. It took, however, the invention of a new technology, the automatic cream separator (a steam-powered centrifuge), before peasant production could be centralized under a new institution, the cooperative creamery.6The reason why Denmark so successfully adopted cooperatives is explored in a number of works, most notably perhaps by O’Rourke (2006, 2007), who contrasts with Ireland. The first of these was founded in 1882, followed by hundreds of others around the whole country within a decade, although adoption rates differed according to differences in the prior treatment by the aforementioned elites. Massive increases in productivity followed, production boomed, and Denmark captured a large share of the important UK market for butter and other agricultural products. This success is usually set within the context of the American “grain invasion” from the 1870s (O’Rourke, 1997), when cheap exports of largely US grain flooded Europe, promoting a backlash of protectionism. Denmark, like the UK, chose to remain open, however, and successfully exploited its comparative advantages (created or discovered by the elites in the previous century), using the cheap grain as fodder for increased animal production.
In the context of migration, Denmark is also an exceptionally interesting case to study. Denmark is and was of course a small country, with a population of less than two million around 1880. There was little obvious opportunity for its emigrants to make a large impact on the US. In contrast to its Scandinavian neighbors, Norway and Sweden, which witnessed massive outmigration in the nineteenth century, Danish emigration was relatively modest. Between 1840 and 1914 only 309,000 Danes emigrated, approximately 16 percent of the population, compared to 24 percent in Sweden and almost 39 percent in Norway (Hvidt, 1971). Part of this was due to Denmark’s aforementioned agricultural leadership. We argue that this highly productive and innovative agricultural sector also meant that, despite being few in number, emigrants from Denmark transferred knowledge which potentially boosted economic growth in the host country. Thus, as Denmark had benefited from openness to ideas from Germany in the 1700s, the United States then in turn benefited from its openness to immigrants from Denmark. In the 1880s, once modern dairying had spread to the Danish peasantry, they transmitted their knowledge of new production processes and technologies through pre-existing emigrant communities, and through new migration.
We thus examine the effect of relatively modest numbers of Danish immigrants on economic development in the US, and for the dairy industry in particular. Theory suggests that technological progress is one of the most important drivers of economic growth (Galor and Weil (2000); Howitt (2000)). If immigrants shift the technological frontier by bringing in new knowledge and ideas, immigration can boost economic growth and thereby be beneficial for regional development. Empirically, however, technological progress is often just the residual as it is difficult to measure. Moreover, the link between immigration and technological progress and ultimately economic growth is not well established, mainly due to a lack of data. Thus, although the research on the economic consequences of migration has advanced greatly in recent years (see for example Longhi et al. (2005) and Kerr and Kerr (2011) for surveys), it has as yet failed to reach a consensus.
The empirical evidence on the short-run link is mixed. Peri (2012) finds short-run productivity gains upon immigration, but other authors find no effect (e.g., Quispe-Agnoli and Zavodny (2002); Ortega and Peri (2009)). As for the long-run, Hatton (2010) summarizes much of the cliometric literature on international migration for the period 1850–1940 and mostly for Europeans moving to the New World. His survey divides the literature into a number of themes including the forces driving migration, over time and across space; the assimilation of migrants and their effects on wages and income distribution in source and destination countries; and the evolution of immigration policy.7See also the survey for the United States by Abramitzky and Boustan (2016). Abramitzky et al. (2012) find only a modest return to migration for Norwegian emigrants and show that emigrants were, at least in urban areas, negatively selected from the population. A number of papers have demonstrated the links between coethnic networks and international trade8See for example Greif (1989, 1993) and Gould (1994) as well as Rauch and Trindade (2002) and Ammon and Baiardi (2018). (which might be an obvious channel for technology transfer). Buchardi and Hassan (2013) find that West German regions where more households had maintained social ties with East Germany in 1989 experienced higher growth after the fall of the Berlin Wall due to the ability of entrepreneurs to better exploit opportunities in the East. Likewise, Buchardi et al. (2017) use 130 years of data on historical migrations to the United States to demonstrate a causal effect of the ancestry composition of US counties on foreign direct investment (FDI) sent and received by local firms. More recently, Sequeira et al. (2020) have found that locations in the US with more historical immigration have today higher incomes, less poverty, less unemployment, higher rates of urbanization, and greater educational attainment, which they attribute to the persistence of considerable short-run benefits, including greater industrialization, increased agricultural productivity, and more innovation.
The present work is also closely connected to recent studies that show the long-run impact of the adoption of agriculture (Olsson and Hibbs (2005); Putterman (2008); Comin et al. (2010); Cook (2014b)) and major productivity improving implements like the heavy plough (Andersen et al., 2016), as well as complementing the emerging literature on the effects of new crops on productivity, population and economic growth, and political stability (e.g., Nunn and Qian (2011); Bustos et al. (2016); Cook (2014b,a); Dall et al. (2014); Chen and Kung (2016); Jia (2014)).
Our findings have significant policy implications. Along with the rise of populist movements, there has been increasing adoption or encouragement of various measures to combat immigration. One popular suggestion is so-called ‘point systems,’ whereby potential immigrants are assessed based on a number of criteria, including for example age, educational attainment, language, etc. Such systems have already been adopted in Australia and Canada, and have been proposed by for example both US and UK politicians.9See for example ‘How to earn “points” to come to the US under Trump’s immigration plan,’ CNN(https://edition.cnn.com/2017/08/02/politics/cotton-perdue-trump-bill-point-system-merit-based/index.html, retrieved March 23, 2018). Another popular bone of contention has been so-called ‘chain migration,’ i.e., immigrants coming to a country due to family connections, which in the US constitute a far larger proportion of total immigration than those entering on green cards.10What is “chain migration” and how could it disrupt a DACA deal?’, CNN (https://edition.cnn.com/2017/09/15/politics/chain-migration-daca-trump-tweet/index.html, retrieved April 4, 2018). Similar concerns were of course also present in the past. Ironically, in a report by Cance (1925) which came out in the wake of the Emergency Quota Act of 1921, which established quotas by nationality, the author (unwittingly) underlines the point about how difficult it is to know which migrants are “desirable.” He falls into the trap of assuming that previous generations of migrants were the ‘right’ migrants, specifically mentioning the large number of Scandinavians in agriculture, and concluding that ‘some of the very best of our farmers are immigrants of the first and second generation.’ He concludes however with a warning against importing cheap labor to the countryside, since he believed this would hurt rural living standards and delay the process of assimilation, without seemingly realizing that discriminating against poor rural migrants would have meant that the Scandinavians he praises would not have arrived in the first place.
Historical Background
The History of Danish Emigration to the United States
There are a number of studies of Danish migration to the United States. The most detailed is that by Hvidt (1971),11Although see also Christensen (1924, 1927, 1928) for accounts of Danes who migrated to Iowa, Minnesota, and Wisconsin respectively and Brøndal (2013) and Pedersen (1992) for a more general account. who, as is common in the literature, divides the reasons for migrating into “push” and “pull” factors.12See Lee (1966) for the original theoretical approach to migration. He bases his account on Danish police records, and this section draws heavily on his work.
Relatively few Danes migrated to the US before 1866: only 14,000 between 1820 and 1866, of whom many were Mormons. From this point the numbers increased somewhat, and emigrants were relatively evenly spread according to population from different parts of the country (Hvidt, 1971, p. 100). Many left northern Schleswig after Denmark lost the Duchies of Schleswig and Holstein to Prussia in 1864 and others migrated from 1865 on, as the Danish government became less liberal with respect to religion (Furer, 1972, p. 45).
Emigration from Denmark increased from the late 1860s, with around 158,000 leaving for the US between 1868 and 1900. Hvidt (1971) demonstrates that two-thirds of these knew exactly where they wanted to go (state, county and settlement), and just one-third had a ticket to New York, from where they either stayed or moved on. Of the roughly 88,800 emigrants who knew where they would go, Hvidt (1971) argues that they were probably pulled to the US by personal contacts (through a job opening or letters from earlier emigrants) or by railroad companies selling land through agents in Denmark. Railroad companies would buy large areas of land in the US and then finance construction by selling off plots along the planned tracks, thereby also ensuring future customers. Danish statistics cannot really tell us about the number of emigrants returning, but Hvidt (1971) believes there were relatively few, perhaps around 10 percent. The greatest extent of Danish immigration was reached in 1882, when 11,000 Danes arrived in a single year, many of whom were small farmers and laborers who sought land and jobs in the interior areas of America (Furer, 1972, p. 56). Much of the writing on Danish immigrants concerns the conflict between rival religious factions, specifically those supporting the Danish state Lutheran Church, and those supporting Indre Mission, a rather radical evangelical movement: a conflict which also played out in parts of Denmark (see for example Kjær and Larsen (1972)).
In an attempt to gain more control of the process of emigration and to prevent fraud by emigration agents, a law was passed in 1868 requiring every emigrant to sign a contract with an emigration agent, which then had to be approved by the police.13An exception were Mormons who often chartered whole ships on their own. These are not included in the data for the years 1873–1894 but also represent a very different kind of emigration which is not relevant for the development of the dairy industry. Although the original contracts no longer exist, the police kept protocols all of which survived. These protocols were digitized by the Danish Emigration Archives (Det Danske Udvandrerarkiv) in collaboration with Aalborg City Archives (Aalborg Stadsarkiv) and comprise information on around 330,000 emigrants going from Denmark to the US between 1868 and 1908, the majority of them Danish but also including foreign emigrants travelling via Denmark, mainly Swedes.1414The data was kindly provided to us by the Danish Demographic Database: Det Danske Udvandrerarkiv. Københavns Politis Udvandrerprotokoller (hosted at Danish Demographic Database, (delivery 12-02-2018)). The data include the name, birth place and date, the occupation, the ship travelled on, and the destination of the emigrant.15Not all information is always available. Occupation is surprisingly complete with only 103 missing entries, although also often recorded as “child,” “housewife,” or “worker.” Figure 1 below shows the total stock of Danish immigrants in the US (left vertical axis) as well as the number of emigrants from Denmark with an occupation related to dairying (right vertical axis) by year.16We include the following titles in dairy-related occupations: dairyman (Mejerist or Mejerimand ), dairy manager (Mejeribestyrer), dairy owner (Mejeriejer), dairy consultant (Mejerikonsulent), dairy worker (Mejeriarbejder), dairy student (Mejerielev), dairy tenant (Mejeriforpagter), dairy apprentice (Mejerilærling), woman working in dairying (Mejeripige or Mejerske), and dairy technician (Mejeritekniker). For lack of a better translation, we translate mejerist with dairyman although this may be misleading. In Denmark a mejerist was a person with a very long education and a high skill level. Although the other occupations included in the figure do not represent the same level of education, they are all likely to have known about modern dairying techniques. Especially for Danes with a dairy-related occupation, immigration numbers are very small before 1890 – note the difference in scale between the two vertical axes. This pattern arises due to two factors: first, the total number of Danish immigrants was rather low before 1890, but second and probably more importantly, working in dairying was not initially considered to be an occupation, since men in particular would rather report themselves as farmers.
Figure 1. Stock of Danish immigrants and flow of Danish immigrants with a dairy-related occupation.
Although there is some evidence that Danish farmers earned more money in the US than they did back home (Mackintosh, 1992, 1993), Hvidt (1971) argues against the primary role of differences between economic conditions in Europe and the US for the decision to migrate, and for the importance of various push and pull factors.17In an econometric analysis of the reasons for Danish migration to the US between 1870 and 1913, Larsen (1982) finds economic conditions (for example employment and wages) in the US to be more important than those at home. Although earlier migration was determined by religious and political motives, the much greater emigration from the 1880s was the result of two factors: first, higher wages in Denmark, and second, lower costs of transportation, both meaning that more people could afford to emigrate. He argues that this was not sufficient, however, since potential migrants needed information about conditions in the US before they could make a decision. This came first through personal connections: migrant Danes sent generally positive letters back home, and sent money or purchased tickets for their friends and family. Second, shipping and railroad companies (sometimes in collaboration, or private companies acting on their behalf, or on behalf of firms looking for labor) advertised heavily, distributing pamphlets and sending previous migrants to be agents in Denmark. Finally, the US and its state governments themselves advertised in Europe, and Hvidt cites an example from 1871 of 10,000 pamphlets which were printed in Copenhagen for distribution in Scandinavia. Moreover, there were special newspapers for emigrants with information on emigration and the US (e.g., Den nye Verden (1886–91), or Kors og Stjerne (1889- )), and Danish-American organizations such as Dansk Folkesamfund (the Danish People’s Society) also played a role in the spread of information about the US, for example through the distribution of addresses of Danes in the US one could write to. Finally, returning emigrants also of course brought with them information.
The Modernization of Dairying in Denmark and the United States before the First World War
At the same time as some Danes were migrating to the United States, something quite remarkable was happening back in Denmark. As is explained by Lampe and Sharp (2019), Danish agriculture, and dairying in particular, had been developing strongly from at least the eighteenth century. This was, however, constrained to mostly German speaking ‘enlightened elites’ on large landed estates and was thus largely circumstantial to those who migrated to America, before the invention of the automatic cream separator (a centrifuge). Even before this, however, important innovations were made, including for example winter dairying, proved in 1887 but understood prior to that date and widely practiced on estate dairies by the 1860s, with the first exhibition of winter butter in Aarhus in 1868. This greatly increased the productivity of the cows, and allowed farmers to take advantage of the relatively high price of butter during the winter (see also Henriksen and O’Rourke (2005)). Other innovations included various improvements regarding feeding, breeding, and the artificial cooling of milk to speed the separation of cream. Danish agriculture also became associated with the production and export of pork, principally bacon, since more efficient separation of cream from the milk left behind a larger amount of waste skim milk, which could then no longer be used for making cheese as had been traditional. It was thus fed to pigs (Henriksen et al., 2012).
As for the centrifuge itself, the principle that cream could be separated using centrifugal force was discovered in Germany in 1864, but important refinements were made in the Duchy of Holstein in 1876, and separators based on this design were then produced by rival Danish (Burmeister & Wain) and Swedish (Alfa Laval) firms in 1878–1879 (Pedersen, 1999, p. 51). Up to and beyond this date, many important innovations came out of the work of docent Niels Johannes Fjord at the Royal Veterinary and Agricultural College in Frederiksberg, near Copenhagen. He presented the first results of his work with centrifuges in 1879, and established an Agricultural Economic Experimental Laboratory in 1883. Among important later innovations was Fjord’s invention in 1887 of a control centrifuge for assessing the butterfat content of milk, which meant that it became possible to pay for milk by quality as well as quantity.
The centralization of production however owed largely to the establishment of the separator. Boberg-Fazlic et al. (2020), in a test of Lampe and Sharp (2018), demonstrate that the differential uptake of the cooperative institution and the new technology which it embodied can be traced to a trickle down from the elites who had brought the Holstein System over a century earlier.18Interestingly, Hvidt (1971) notes that many Danish migrants came from areas with more of the large farms Lampe and Sharp (2018) suggest were so important for facilitating the uptake of modern dairying in Denmark. He attributes this to the fact that estate owners from the 1880s began to grow sugar beet, and brought in immigrant labor in particular from Poland to help with this. This put the wages of laborers under pressure, making it difficult for Danish agricultural workers to find enough work, giving an incentive to emigrate. They find a causal impact on the location of cooperatives established by 1890, as well as the specialization by the peasantry in dairying. The centrifuge meant that it was possible to use milk which had been transported over longer distances to be processed in a central production facility, and led to massive productivity gains. Voluntary associations of Danish peasants, the cooperatives, sprang up to take advantage of this possibility. Danish agriculture witnessed extraordinary success, outcompeting traditional leaders in the sector such as the Dutch and the Irish. Within a few years, Denmark had captured a significant share of the important UK market for animal foodstuffs, for example almost 50 percent of butter imports by the First World War (Henriksen,1993, p. 156). In fact, Denmark is still considered an ‘agricultural superpower,’19Economist, January 4, 2014, ‘Bringing home the bacon: Tiny Denmark is an agricultural superpower.’ and dairy production is still dominated by a massive Danish-Swedish cooperative, Arla, which traces its roots back to the developments of the 1880s.
Turning to the United States, that country also witnessed considerable progress in dairying before the First World War, although this was understandably less uniform than in Denmark. A useful account of the development of American agriculture in general is provided by Olmstead and Rhode (2008), who argue for an exceptionally dynamic development path founded in science and a stream of biological innovations. In terms of dairying, their story does not sound too different from that in Denmark. They describe a gradual increase in milk yields, mostly due to improvements in feed (especially during the winter months), shelter, new breeds, and a longer milking season, largely as the result of winter dairying. The Babcock test from 1890, which could measure the butterfat content of milk, is highlighted both by them and by other historians of American agriculture, but as demonstrated above this was preceded by a similar invention in Denmark.
Dairying in Europe and North America was clearly separated by long distances and, initially at least, the perishability of the products meant that Denmark had little to fear in terms of competition for the UK market from American producers. This does not mean to say, however, that ideas could not flow across the Atlantic, and indeed they did, as we will discuss more below in the next section. But this is not the impression one would get from reading many accounts of the history of American agriculture, although Olmstead and Rhode (2008)20See also Bateman (1968) for an analysis of the determinants of increases in US milk yields over time. note that the world’s first dairy herd improvement association was founded in Denmark, and that the Danish immigrant Helmer Ræbild (who we will return to below) helped found the first association in the United States in Newaygo county in Michigan in 1906. Neither do histories of cooperation often suggest a significant role for Danish migrants, see for example Knapp (1969).21Although see Danker (1968), who finds a correlation between areas with more Scandinavians and cooperation in agriculture. Olmstead and Rhode (2008) consider the introduction of the ‘factory system’ to dairying to be a major advance, since it disconnected the production of cheese and butter from milk and farms. The first butter factory, or creamery, was founded by Alanson Slaughter in Orange County, New York, in 1861. This was more or less contemporaneous with the spread of similar so-called community creameries in Denmark (McLaughlin and Sharp, 2018), but clearly the idea of centralizing production at the estate level had been around for much longer in Europe, and besides, it was the centrifuge which was to make possible the central processing of milk for a much larger area, and here Denmark was far in advance. Drejer (1933) (p. 41, based on an article from the Danish agricultural journal Ugeskrift for Landmænd ) reports that in 1881 there were already 90 separators in use in Denmark, and that by 1887, the number had risen to about 2,200. As we will return to below, the first centrifuge in the United States was imported by Danes, and installed in a creamery in 1883.
Cooperatives are even described in some (extremely biased) historical accounts as the ‘American System of Dairying’ (Alvord, 1899),22The extent to which Alvord neglects the contributions of dairy scientists in Europe is apparent from the following sentence: ‘The world is indebted to Europe for [the centrifuge], at least as a dairy appliance. It is the only instance in which dairy invention abroad has been notably in advance of the United States’ (Alvord, 1899, p.394). Apart from the Danish contributions we mention here, others such as Louis Pasteur would no doubt beg to disagree. but there is certainly no doubt that Denmark both centralized production earlier, and that cooperatives earned a greater foothold in Denmark than in the US. In fact, also in productivity terms there is no mistaking the lead Denmark had over the US at an early date. As table 1 demonstrates, Danish milk yields were similar to those in the United States in 1860, although those on the landed estates (consistent with the story presented above) were already much higher. As the productivity of the cows owned by the peasantry converged on that of the estates, which also continued to increase, the United States was left far behind.23Leisner (2005) describes how American creameries also introduced pasteurization rather late compared to those in Denmark, largely due to an American demand for a ‘strong flavor’ which was not so easily obtainable using pasteurized milk. This also kept American creameries out of the UK market.
Table 1. Milk yields in tons per cow
Source: Lampe and Sharp (2019), table 6.1. No data is available for 1850 milk yields in Denmark as a whole.
Danes and Dairying in the United States
The story of the first creamery to use a centrifuge in the US, founded in the Danish settlement of Fredsville, Iowa24Fred is Danish for peace, so literally “village of peace.” provides nice anecdotal evidence for the way in which knowledge could be transmitted between Denmark and Danish-American communities. Truels Slifsgaard from southern Jutland, Denmark, moved to the US in 1869, where he became a tenant on a farm in Grundy County, Iowa. There was already the cooperative Fairfield Creamery in Cedar Falls, but this was some distance away, and the skim milk he received back was sour and not very useful for feeding pigs, for example, which as noted above was increasingly the common practice among Danish farmers. He learned about developments in Denmark and in particular the use of centrifuges through correspondence with his father, Jeppe Slifsgaard (a merchant in southern Jutland), who eventually decided to go to the US with a Burmeister & Wain automatic cream separator25The patent for the B&W centrifuge was later sold in America, and they were marketed as ‘Danish-Weston’ and later ‘Reid.’ together with Niels Blom, a mejerist.26See footnote 16 for explanation. They arrived in Cedar Falls in the summer of 1882, but the machine was held up by customs in New York, because they did not know if it was made of iron or steel. They finally decided it was made of steel, charged $93 in duties, and this machine thus became the first separator in the US.27In fact, the first centrifugal separator in Canada was also imported from Denmark, and was installed in Sainte-Marie de Beauce, Québec (Fondation de technologie laitière du Québec 1985, p. 476). Apparently the first centrifuge in New Zealand was also imported by a Dane, John Henry Monrad (Sørensen (1908), see also Sundstrom (1986)). Jeppe and Truels Slifsgaard then established ‘The Danish Creamery’ with Niels Blom as mejerist in 1883 at the place where Fredsville later grew up.28Fredsville only got its post office in 1889. There they used the B&W separator for 11 years, although it caused some difficulties, since it had to be sent back to Denmark for repairs, which highlights the importance of contact with Denmark. Other creameries were established using a similar model in the local area, and the Danish Creamery was eventually bought up by the farmers and became a cooperative (Sørensen, 1908; Christensen, 1957).
The ‘Danish Creamery’ in Fredsville was not the first Danish creamery in the US, however. That honor belongs to Clarks Grove, Minnesota (which is in fact only just over 100 miles away from Fredsville), where a creamery was established in 1874–75 as part of a settlement which had its origins in a Danish Baptist colony, established in 1863, both founded by L. Jørgensen Hauge. The creamery struggled for years with low prices for butter, but things began to change when Hauge spent some time at Thorbygaard, Funen, in Denmark, in the summer of 1887. In Thorbygaard there were 200 cows and a creamery with a centrifuge run on steam power. Hauge came back to Clarks Grove in 1889 and started giving his famous ‘Butter Sermons,’ where he advocated for dairying on Danish principles, which has been considered to have had a strong impact on the development of cooperative dairying in Minnesota.29Keillor (2000) argues, however, that this story is somewhat suspect, and that the role of the Danes has been somewhat exaggerated (also because they were well integrated). Although see Jørgensen (1993), who argues that there were many examples of Danish settlements who preserved a strong Danish identity even with a relatively small population.
It was not only Danish-Americans who were of importance, however. These small communities could not possibly have had such a large impact on the entirety of American dairying were it not for their interaction with other migrant communities, as well as native born Americans. For example, Edwards (1938) describes how Professor Theophilus Levi Haecker (the son of German migrants, and whose mother was an expert butter maker) is often attributed with improving dairying in Minnesota. While working in 1892 on an extensive survey of dairying in Minnesota he became familiar with the Danish community in Clarks Grove. According to a later interview with Haecker,30Interview with Professor Haecker; Hoard’s Dairyman, 69:14, 23 ( January 16, 1925); Farmer, 39:1395, 1403, 43:35 (October 8,
1921, January 10, 1925), cited by Edwards (1938). he was so impressed by this that he worked on promoting the Danish system of butter production around Minnesota, including through a press bulletin issued by the Minnesota Agricultural Experiment Station in March 1894 on “Organizing Co-operative Creameries,” and for over twenty years by direct contact with farmers by traveling between farms. The end result was that from just four cooperative creameries in Minnesota in 1892, by the time of his retirement in 1918 there were no less than 630. (Edwards, 1938, p. 157) His activities are illustrative of the way in which best practice spread out from Danish communities. This is not of course to say that subsequent migration of experts from Denmark did not also play an important role, and we will consider this additional mechanism carefully below.
By far the most comprehensive coverage of notable Danish-Americans and their impact on American dairying is provided by Sørensen (1908).31Sørensens work represents a massive, comprehensive coverage of every aspect of Danish-American life published in two volumes and edited by Vig (1908, 1916). Sørensen gives a multitude of examples of Danish-American entrepreneurs, scientists, and journalists. This includes, for example, Johan Ditlev Frederiksen, who managed the American branch of the Danish producer of butter color, rennet, etc., Christian Hansen’s Laboratory in Little Falls, NY, which sold its products to creameries and households around the US. It also includes John Henry Monrad, who established his own office of the same business in Chicago. Monrad became an important figure in American dairying, through his regular contact with creameries, by writing for and editing the agricultural press, and even working for the Dairy Division of the USDA. Other examples were the Dairy Inspector for Minnesota, H. T. Søndergaard, the aforementioned Helmer Ræbild, who was employed by the USDA to promote dairy herd improvement associations, and the pasteurization expert Julius Moldenhawer, who did important work on how to supply towns with clean and healthy milk. In sum, Sørensen (1908) argues that Danes were particularly successful in many aspects of dairying. Articles from Danish contributors were a frequent occurrence in American journals, many Danes won prizes at butter and cheese exhibitions, and Danish-educated mejerister (of which he argues there was an overproduction back in Denmark, although Hvidt (1971) describes this as a ‘brain drain’) had a relatively easy time finding work in American creameries. Many mejerister owned creameries, worked for the state as inspectors and consultants, and became teachers and professors. In addition, Danish migrants also produced successful offspring, educated in the US. Sørensen suggests, however, that in other branches of agriculture, although Danes were receptive to new ideas, they were more followers rather than innovators. But in US dairying, at the time Sørensen was writing, Danish migrants were extremely important, and not just for small scale cooperative agriculture.32Mackintosh (1990) considers Audubon and Shelby counties in Iowa, finding that around 1920, decades after the first Danish
settlement, agriculture still reflected practices brought from Denmark (and Danish ethnic background dominated the influence of any other single factor). These counties contained however the Elk Horn settlement, which was the largest settlement of Danes anywhere in the US. She finds that Danish townships had on average smaller farms and a greater focus on livestock production, milk cows in particular, although the correlation is rather weak. For example, when it was established by Viggo F. Jensen from Southern Jutland in 1900, the Continental Creamery Company in Topeka, Kansas, was the largest creamery in the world.33Another example mentioned by Sørensen is the Henningsen Produce Company, which at the time he was writing was apparently the largest supplier of dairy products in the Northwest, and possibly all of the US.
Sørensen (1908) also explains, however, how American agricultural magazines and bulletins contained frequent references to the Danish dairy sector, and how Danish scientific discoveries were quickly adopted in the US. Take for example the work of Bernhard Lauritz Frederik Bang at the Royal Veterinary and Agricultural College in Frederiksberg (near Copenhagen), whose method for testing for bovine tuberculosis was already widely used in Wisconsin in 1896, and later around the country.34Bang is best known today for the discovery of Brucella abortus in 1897. This gives rise to the contagious Bang’s disease (now known as Brucellosis), which causes pregnant cattle to abort, and to undulant fever in humans. A detailed study of the cross-cultural exchange between Americans and Danes is provided by Keillor (1993), arguing that despite Danish reservations about allowing their technological lead to be exported to the US, there was little they could do about the export of people, and with them ideas. He argues that, with some lag due to language, cultural, and climatic differences to which the pure Danish system could not so easily adapt, Danish-Americans acted as ‘brokers’ spreading information between the two countries, something that was eventually institutionalized as Danes took important positions within American agriculture, government, and academia. This spread of knowledge was supported through various publications. For example, like other immigrants, the Danes established their own foreign language press.35The first Danish newspaper in the US was Den Danske Pioneer, founded in 1872, followed by Bien, from 1880; Nordlyset, published in New York from 1880; Dansk Tidende, published in Chicago from 1892; Ugeblad, published in Tyler, Minnesota; and Lutheransk Ugeblad, the official organ of the United Danish Lutheran Church, published in 1919 (Furer, 1972, p. 50). A search in the Digital Library of Danish American Newspapers and Journals maintained by the Museum of Danish America, which we exploit as an indicator of information flows below, provides plenty of evidence about the spread of information about dairying in Denmark and the progress of Danes in the US through the
Danish-American agricultural press. It also includes many advertisements for mejerister,36One of the earliest found can be read in Dannevirke, September 19, 1888, looking for a mejerist educated in Denmark. this latter demonstrating the endogeneity of the later movement of skilled dairymen to the US. An article from Dannevirke dated December 26, 1888, demonstrates, however, that progress was not always smooth:
What we most need is a Danish dairy. We should really start with that in the spring. And it is probably best if we start from scratch. The reason is that a dairy was actually started a couple of years ago, and it is still waiting and freezing without a roof over its head. (own translation)
There are even examples of Danish-American creameries in the United States publishing their accounts in the Danish agricultural press (see for example Jensen (1897)). Lampe and Sharp (2017, 2018, 2019) have argued that the development of bookkeeping and accounting practices and the sharing of results played an important role in the development of the dairying sector in Denmark. Thus, as Sørensen (1908) suggested, both Danish ideas and men flowed into the US, and although their importance has been disputed, the present work tests their relative and absolute influence.
Data and Empirical Strategy
Data
Our main source is US census data. The micro data for the years 1880, 1900, 1910, 1920, where full count data is available, is provided by IPUMS (Ruggles et al., 2018) and gives us information on the number of individuals born in Denmark (and other nationalities) in each county.37Full count micro data of the 1870 census is not available; we thus do not have the number of Danes in 1870, which would also have been extremely small. Also, the individual level records from the 1890 census have unfortunately been lost. Thus, our measure of Danes includes men and women born in Denmark, not their descendants (although we consider second generation Danish immigrants in a robustness check). Additionally, the micro data includes information on the sector and, if in manufacturing, also the industry the individual is working in. We use this data to calculate the number of people working in the dairy industry (manufacturing) as a measure of the modernity of the dairy sector. We calculate these figures on the county level. We also use the micro data from 1880 to examine whether Danes were different from other migrants or those born in the US.
We combine this with data from the agricultural census for the years 1870, 1880, 1890, 1900, 1910, and 1920 on the county level, compiled by Haines (2010), which collects information on the number of animals kept and the produce of each farm (see also Haines et al. (2018)). The main variable used from this information is the number of dairy cows, defined as cows kept mainly for milk. As of the census of 1850 cattle were classified into three categories: working oxen, milk cows and other cattle. With increasingly different uses of cattle, this classification was changed to eight categories in 1900: calves under 1 year, steers between 1 and 2 years of age, steers between 2 and 3 years of age, steers 3 years and over, bulls 1 year and over, heifers between 1 and 2 years of age, cows kept for milk 2 years and over, cows and heifers not kept for milk 2 years and over. However, heifers between 1 and 2 years were generally counted as dairy cows, i.e., they were kept mainly for milk, and from 1920 counted as a separate category. Therefore, our measure of dairy cows includes “milk cows” before 1900 and cows kept for milk 2 years and over, and dairy heifers between 1 and 2 years after 1900. Additionally, for use as a placebo, we use information on the number of bushels of wheat produced by county from the census. In 1870 this is divided into spring and winter wheat which we sum to obtain the total amount of wheat produced as reported for the other years.
The census data also includes information on the amount of butter produced. Before 1880 basically all butter was produced on farms and we thus only have this figure for the year 1870. After 1870 the industrial production of butter increased in importance and is included in the industrial census from the year 1880, although this is only available on the state level. We thus have the amount of butter produced on farms on the county level and the amount of butter produced industrially on the state level.
We add a number of geographical variables on the county level, which have been shown to be positively related to economic productivity. We use a measure of terrain ruggedness based on “The Terrain Ruggedness Index” (in millimetres), which is provided by Nunn and Puga (2012).38Downloaded from: www.diegopuga.org/data/rugged/tri.zip Furthermore, we calculate average county elevation based on the data from GTOPO30 (US Geological Survey, 1996). In order to control for market accessibility we include the distance to the nearest canal or steamboat navigated river based on the maps provided by Atack (2015, 2017).39We use this measure as it is clearly exogenous. Our results are robust to including the more general measure of ‘market access’ by Donaldson and Hornbeck (2016), which includes other modes of transportation (railroads and wagons). Furthermore, we use the suitability index for pasture (suitability of global land area for pasture, FAO) provided by the Food and Agriculture Organization of the United Nations and the suitability index for wheat (Crop Suitability Index (class) for low input level rain-fed wheat, FAO) from the same source. We use the category “low input level rain-fed” to measure suitability as realistically as possible given the technology of our time period. In both cases we calculate the share of county area classified into high or very high suitability.
Finally, we also use the Danish police protocols on emigrants described earlier. These were provided by the Danish Emigration Archives and Aalborg City Archives (Det Danske Udvandrerarkiv, 2018). We use these records to calculate a measure of the direct effects of immigration by calculating the number of Danish migrants who are recorded to have worked with dairying in Denmark. We also use the emigration records to provide a measure of knowledge transfer, by calculating how many Danish-Americans also spent time back in Denmark. We supplement this with information from the Danish-language press in the US. Copies of these newspapers are available online from the Museum of Danish America.40See: https://box2.nmtvault.com/DanishIM/jsp/RcWebBrowse.jsp
The main analysis is conducted on the county level. Of course county boundaries were changing over time, as new counties were formed and others were abandoned. We use stable units of analysis by adjusting all county borders to the year 1870 using the procedure suggested by Hornbeck (2010). In the end we have data on all variables used in all years for a total number of 2,159 counties.41Using the 1870 counties implies that we do not include territories that only acquired statehood after this date, although see Rogers (1978) on “Creamery Fever” among Scandinavians in Grant County, South Dakota, before the First World War. Table A1 in the appendix provides summary statistics for the main variables.
Empirical Strategy
In order to identify the effect of Danish communities on the local dairy industry we implement a difference-in-differences analysis. We compare the development of the dairy industry in counties that received many Danes with those that received none or only few Danes. Further, we hypothesize that we would see this effect only from 1890. We measure the development of the dairy industry in two different ways. First, we look at whether an area specialized in dairying, by using the number of dairy cows (defined as described above) in the county as the outcome variable. Second, we investigate the state of modernization in the dairy sector. Here, we have two possible indicators of more modern dairying. As one indicator we use the number of people working in industrial dairying. The more modern the dairy sector in an area, the more people should work in industrial dairying (as opposed to dairying conducted on farms). This outcome variable is only available from 1880, as industrial dairying was minimal prior to this date. We expect a positive effect of Danes on industrial dairying. For the second indicator of modern dairying we use the amount of farm butter produced in the county, with the expectation that this should be falling over time as production moved into the factories.
As the treatment variable, we use the distribution of Danes in 1880. The main innovations we are interested in took place during the 1880s: the first steam-powered cream separator was installed in 1878 in Denmark, and the first cooperative creamery in Denmark was established in 1882. The first cream separator in the US was installed in the Danish cooperative creamery in Fredsville, Iowa, in 1883. We use the distribution of Danes prior to these dates, i.e., the distribution in 1880, as this will ensure exogeneity with respect to these events. The developments in the Danish dairy sector happened rapidly over the course of just a few years. Danes emigrating before or in 1880 could not possibly know that Denmark would have an advantage in dairying just one decade later. Only by 1890 would Danes have learned about cooperatives and new technology in butter production through contact with their home country. Whether a county has resident Danes should thus only matter from 1890 and onward, where we expect to see an effect of Danes on the local dairy sector. As explained earlier, the absolute number of Danes coming to the US was small compared to other European countries. However, technology spreads between people such that even one person with the right knowledge may have a great impact. We thus measure the pre-determined distribution of Danes by taking the natural logarithm of the number of Danes in the county in 1880.42We prefer the specification in logarithms as the distribution of Danes in 1880 is highly skewed to the left. Section 4.3 shows that the results are robust to alternative functional forms. Figure 2 presents a visualization of where Danes settled over time. In 1880, Danes are highly concentrated in the Midwest and Utah, where the latter are the Mormon colonies mentioned earlier.
Figure 2. Number of Danes per county in 1880
One potential threat to our identification strategy is that even before 1890, Danes might have exhibited certain traits which would later give them an advantage in dairying. Although they could not possibly know about modern dairying techniques, they could be better educated than others, for example. Based on the micro data from the 1880 census, figures A1 and A2 in the appendix show a comparison of several characteristics across different nationalities, to investigate whether Danish settlers in 1880 were different from other settlers at the time or from those born in the US. None of these variables show Danes to be particularly different from other immigrant groups or natives. Another potential threat to our strategy is that Danes may have settled in areas particularly suited for dairying or less suitable for industry, for example. We therefore control for the suitability for pasture and other geographical characteristics in all regressions.
We estimate the following standard difference-in-differences models to determine the average treatment effect:
\begin{equation}
Y_{it} = \beta \, ln(Danes_{1880i})\times D_{post1880} + \sum_{j=1870}^{1920} X_{i}\times I_{j} + \mu_{i} + \lambda_{t} + \eta_{rt} + \epsilon_{it}
\label{eq:model_avrgtreatment}
\end{equation}
where \(Y_{it}\) is one of our outcome variables \(ln(cows_{it})\), \(ln(ind.dairy_{it})\), or \(ln(farmbutter)_{it}\) for county/state \(i\) at time \(t\). \(ln(cows_{it})\) is the natural logarithm of the number of dairy cows, \(ln(ind.dairy_{it})\) the natural logarithm of the number of people working in industrial dairying, and \(ln(farmbutter)_{it}\) the natural logarithm of pounds of butter produced on farms (i.e., traditionally). \(ln(Danes_{1880i})\) is the natural logarithm of the number of Danes in 1880 in county \(i\) and \(D_{post1880}\) is an indicator variable which takes the value zero in and before 1880 and one in 1890 and thereafter.43n case a variable takes the value zero, we add a small amount to take the logarithm. In section 4.3 we show that our results do not depend on this assumption. We prefer the analysis in levels as Danes often moved to rather unsettled areas, such that the number of Danes as a share of population becomes less meaningful in this case. Also, we hypothesize that it is not necessarily the size of the group of Danes which is important. Nevertheless, section 4.3 also shows results for different treatment variables. The vector \(X_{i}\) represents time-invariant control variables interacted with year fixed effects. Here, we include geographical characteristics of the county to account for the possibility that it is not Danes having an effect on the dairy industry but that Danes may settle in areas with a geographical advantage for dairying or for industrial development in general (see also Nunn and Qian (2011)). The pre-determined suitability for dairying is controlled for by including the share of county area with high or very high pasture suitability. We also include the average elevation, the average Terrain Ruggedness Index of county area (measured in millimeters), and the share of county area with high or very high wheat suitability to account for general agricultural suitability. To control for suitability for industrial production, we control for the distance to a canal or steamboat navigable river. Further, we include county fixed effects (\(\mu_{i}\)), time fixed effects (\(\lambda_{t}\)), and region-by-year fixed effects (\(\eta_{rt}\)). Including region-by-year fixed effects implies that we are comparing counties which received Danes in or before 1880 to counties without Danes within the same region. \(\epsilon_{it}\) is the error term, clustered at the county level. Our main parameter of interest is \(\beta\), the average treatment effect. In the appendix, we also estimate a flexible difference-in-differences model, including dummy variables for each year, using 1880 as the baseline year. The flexible model allows us to investigate the common trend assumption, that the treated counties are not on a diverging path to more (modern) dairying prior to treatment. However, we can only estimate this for \(\ln(cows_{it})\), since the other two outcome variables are only available from 1880.
Results
Specialization and Modernization
We start with a simple pooled OLS estimation for the years 1890 to 1920, as we only expect a relation between the number of Danes and the number of dairy cows after 1890. Figure 3, shows the partial correlation between the number of Danes and the number of dairy cows, including the full set of control variables. For better visibility, we show this on the state level and only for the year 1900 here, where however some persistence of the settlement patterns identified in figure 2 is apparent. The same figure based on all data points, i.e., all counties for the years 1890–1920, can be found in figure A3 in the appendix.
Figure 3. Partial regression plot between ln(Danes) and ln(cows). State level, year 1900.
Clearly, there is a positive relation between the number of Danes and the number of dairy cows. Of course, this result can by no means be interpreted as a causal relationship. Therefore, we present results from a difference-in-differences model using the distribution of Danes in 1880 as the treatment variable and 1880 as the cut-off year. We estimate the average treatment effect for the three different outcome variables, \(\textit{ln(cows)}\), \(\textit{ln(ind.dairy)}\), and \(\textit{ln(farmbutter)}\), presented in table 2.
Table 2. Difference-in-differences estimation
Geography controls include the natural logarithm of the share of county area with very high or high pasture suitability, the share of county area with high or very high wheat suitability, average elevation, average Terrain Ruggedness Index of county area (measured in millimetres), and the distance to a canal or steamboat navigable river. Robust standard errors are in parentheses, clustered at the county level. *** p < 0.01 ** p < 0.05 * p < 0.10
There is a strong positive effect of Danes on dairy cows after 1880, such that places receiving more Danes up to 1880 developed more strongly in dairying in subsequent years. This finding is supported by column (2) where we also find a positive effect on the number of people working in industrial dairying, indicating more modern dairying techniques. Another way to look at the state of modernization of the dairy sector is to look at the amount of butter produced and especially whether this butter is produced on farms (the traditional way) or in modern factories/creameries (industrial butter). Column (3) shows that Danes have a negative effect on the amount of butter produced on farms, which represents the more traditional method for producing butter. Ideally, we would like to contrast this with the amount of butter produced in industry, but unfortunately this information is not available on the county level. On the state level, however, this distinction is available. Table A2 in the appendix shows the effect of Danes on the total amount of butter produced (column (1)), the amount of industrial butter (column (2)) and the amount of butter produced on farms (column (3)). Overall, we find an insignificant negative effect of Danes on total butter, where the coefficient is effectively zero compared to the coefficients estimated in columns (2) and (3). When we split the butter into modern and traditional production, however, we see diverging effects between industrial butter and butter produced on farms. As industrial production was still rather limited (as are our number of observations, since this data is only available on the state level), it is not surprising that the coefficient in this specification is not significant. Nevertheless, the results indicate that areas with more Danes produced more industrial butter and less butter on farms, with the implication that resources were diverted toward industrial production away from the more traditional methods in these areas.
Focusing on column (1) in table 2, our average treatment effect is an elasticity of 0.009. This means that 1 percent more Danes led to 0.009 percent more dairy cows after 1890. This effect is not negligible, as the average number of dairy cows is almost 200 times the average number of Danes in the county before 1890 and still more than 100 times after 1890. Thus, an increase in the number of Danes of one standard deviation above the mean translates to 4.2 percent more dairy cows. Moreover, the effect is most likely underestimated as we use the distribution of Danes in 1880 as our treatment variable. Danish migration first took off in the 1890’s and we are thus assigning zero to many areas which later received Danes.
Moreover, we demonstrated above that the effect was bigger on the intensive margin. Nevertheless, despite rather small Danish migration streams, we find a significant positive effect, thus demonstrating that areas with Danes specialized in dairying and kept a greater number of dairy cows.
Flexible difference-in-differences and persistence
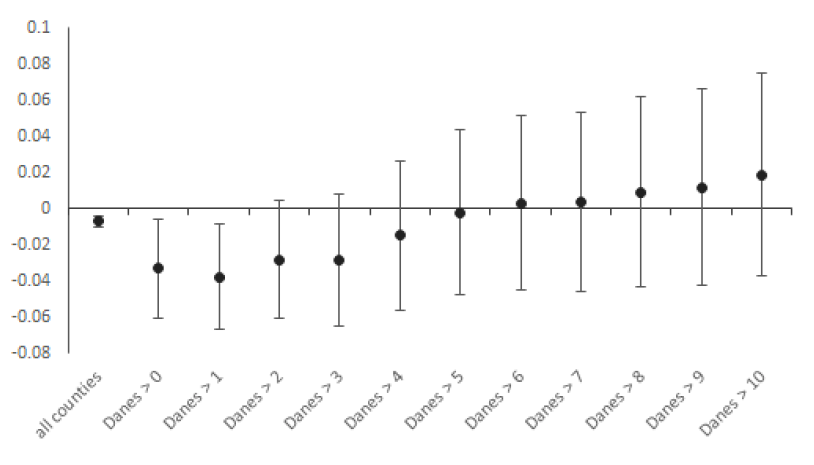
The difference-in-differences model rests on the common trend assumption, which states that, in the absence of treatment, the difference in the outcome variable between counties in the treatment group (counties receiving Danes) and counties in the control group (those not receiving Danes) would be constant. One way to test this assumption is to estimate the flexible difference-in-differences model, i.e., to interact the treatment variable with time dummies including pre-treatment periods. Since the only outcome variable we have from before the 1880s is \(\ln(cows)_{it}\), we use this to estimate a flexible difference-in-differences model, allowing the effect of the 1880 distribution of Danes to differ in every year. The results are shown in table A3 in the appendix. We note a negative pre-trend in the baseline specification—i.e., counties receiving more Danes up to 1880 do in fact have lower numbers of dairy cows in 1870. This pre-trend might suggest a general pattern of convergence unrelated to the presence of Danes. We note, however, that roughly half the counties had no Danish population at all in 1880, and thus convergence of these, and other areas with almost no Danes, might be one explanation. In order to investigate this mechanism, we repeat the flexible estimation but condition on different numbers of Danes. In other words, we include only counties with a positive number of Danes in 1880, with more than one Dane in 1880, more than two Danes, etc. The estimates for the effect in 1870 (i.e., the pre-trend) are shown in figure A4. When focusing on the intensive margin of Danish treatment, i.e., conditioning on a “significant” number of Danes (here 2 or above), the pre-trend disappears. Thus, the negative coefficient in 1870 when estimating on all counties seems to be due to the inclusion of counties which had no Danes (or just one Dane) in 1880. The largest streams of migration occurred first after 1890, thus these places were underdeveloped in all respects; they received no Danes but also had no significant agriculture in 1870.
With migration picking up, these counties converged with those counties where settlement occurred earlier. Nevertheless, we focus on all counties as we would like to capture the effect of comparing counties with no or very few Danes with those receiving more significant numbers of Danes.44Also, most of our data, apart from the number of Danes and the number of dairy cows, starts first after 1890, exactly due to the fact that this is when migration picked up. This is also the reason why we choose the difference-in-differences framework although it relies on the common trend assumption. The shift-share approach, for example, would assign zero Danes in all subsequent years to counties having no Danes in 1880. We might wonder whether places where Danes originally settled are still relatively specialized in dairying. From Haines (2010) we also have data on the number of dairy cows for the years 1950, 1960, and 1970. Adding these years to the flexible difference-in-differences model, we find that the coefficient stays positive but becomes insignificant in the later years. Today, only a few states produce large amounts of dairy products, which explains the very large standard errors on the estimates. Nevertheless, states receiving more Danes in 1880 still specialize in dairying almost 100 years later.
Robustness
The above has shown that areas which received more Danes specialized in dairying and also conducted more modern dairying. To test the empirical power of our treatment variable, the 1880 distribution of Danes, we randomize this distribution across counties. We repeat this exercise 10,000 times and use each random distribution as the treatment variable in equation 1, instead of the true distribution. The t-values for the estimated treatment effects are presented in figure A5 in the Appendix. As a reference a line is added for the t-value from our preferred estimation (column (1) in table 2). Clearly, the true distribution of Danes in 1880 explains dairy cow numbers far better than any random draw. Moreover, the unit of analysis used here is the county, the borders of which are of course somewhat arbitrary. This may raise concerns about spatial correlation biasing our results. We therefore present estimates employing Conley standard errors using different cut-off points in table A4 in the appendix. The standard errors, and thus the significance of our results, are only marginally affected by even the largest cut-off of 500km. This implies rather little spatial correlation in the error terms and thus only little spillover effects between counties located close to each other. However, counties were relatively large compared to the size of settlements. Grundy county in Iowa mentioned earlier, for example, covers an area of 337 square miles. The size of Racine county in Wisconsin, which had the highest number of Danes in 1880 after Chicago and Sanpete county in Utah (receiving mainly Mormon migration), was 228 square miles. These are relatively small counties, as the average county covered 630 square miles, but nevertheless imply travelling substantial distances to go from one county to another.
One might of course also question our treatment variable. In the main specification we use the natural logarithm of the number of Danes by adding a small value to the zeros, so that we can compare counties who received Danes to those that did not. Table A5 in the appendix shows that our results are robust to not adding a small value to the zeros (and thus excluding observations), to different small values and to an inverse hyperbolic sine (IHS) transformation. As mentioned earlier, we prefer the specification in logarithms, because the distribution of Danes in 1880 is highly skewed to the left. We could, however, also use a different functional form for the measurement of Danes.45However, these do not fit the assumption of a linear relationship to the outcome variable ln(cows) very well. Table A6 in the appendix presents results when weighting the regression with population in 1880 (column (2)), using Danes by total population (column (3)) or an indicator variable for whether a county has Danes in 1880 (column (4)). When including each variable by itself we find a significantly positive effect of Danes on dairy cows in all specifications. We also include second generation Danes as an additional explanatory variable, although only the first generation seems to matter. Jeppesen (2016), for example, notes that Danish migrants quickly integrated into American society. If that’s true, then the first generation might be the only one that kept contact with the home country, which could explain why we only find an effect from first generation migrants. When including all measures in a horserace specification (column (4)) only the logarithm of Danes and the population share of Danes remain positive. The former remains our preferred specification, since it avoids the biases that would be introduced by including population both on the left and right hand sides of the regression equation.
It could also be that Danes were just very good at agriculture, including dairying. Column (1) of table A7 in the appendix, therefore, presents a placebo regression using wheat as the outcome variable. We find no significant effect on the amount produced. Moreover as noted above, in Denmark, a specialization into pork production occurred along with the specialization in modern dairying. In line with this, we also find a positive effect of Danes on the number of pigs kept in a county, see column (2) of table A7 in the appendix – another indicator for the modernization of the dairy sector.
As is evident from figure 2, a large share of Danes emigrated to counties in the Midwest. This is also where many of the early dairy cooperatives started and where a large share of dairy production still is located. For example, one of the largest dairy producers in the US today, the cooperative Land O’Lakes, is based in Arden Hills in Minneapolis. We therefore check whether identification stems from the Midwest vs. the rest of the country receiving very few Danes or whether our results also hold true within the Midwest.
When repeating our analysis for counties in the Midwest alone, in fact we also find a significantly positive effect of Danes, which is even larger than in the baseline specification. Our estimation results can be found in column (3) in table A7. This means that also within an area receiving many Danes, counties which received more Danes specialized more in dairying than counties receiving fewer Danes. Columns (4)–(6) in the same table include additional control variables.
In column (4) we control for counties lying in the “frontier.” It could be that our results simply stem from Danes settling in the frontier, which then catches up in terms of agriculture over the next decades. We therefore include a dummy variable for all counties lying in the frontier (or “wilderness”) in 1880 in column (4). Here, we use the contemporary definition of the frontier of the US census bureau, defining areas with less than 2 inhabitants per square mile as “wilderness” and between 3 and 6 inhabitants as “frontier” (see also Turner (1920)). Our results are unchanged.
As mentioned earlier, many of the early Danish migrants were Mormons. As these were very different from the other Danish settlers, we use the per capita number of Mormon organizations in the county from the 1870 census to control for these very different types of settlements in column (5). Again, our main results are unaffected. Lastly, we include the natural logarithm of initial population (year 1870) interacted with time as it may be population in general rather than Danes fostering economic development in the area. In fact, the estimated effect of Danes increases in size and is unaffected in terms of sign and significance.
Mechanisms
We argue that we present a very specific example of knowledge transfer through migrant communities, although it is of course impossible to actually measure this transfer. Nevertheless, we can investigate the mechanism further—considering in particular whether the effect is due to the transfer of knowledge or the transfer of people. Our hypothesis is that this was principally a transfer of knowledge. One reason for believing so is that the absolute number of Danes is simply too small for the people alone to have made a difference. Already by 1890 every single Dane in the country would have had to produce more than 1,000 pounds of industrial butter if our results were only due to the people arriving.46This also speaks against a story of Danes simply increasing the demand for dairy products. Furthermore, we hypothesize that all Danes are potential transmitters of knowledge.
Along this line, we investigate whether the effect stems from dairy-related Danes more than from “regular” Danes. We calculate the number of Danish immigrants with a dairy-related occupation47See footnote 16 for a list of occupations. per county. This is possible as the majority of migrants record the exact settlement they travel to. In total we have information on 1,621 Danes working in dairying, which represents less than 1 percent of all emigrants from Denmark to the US. All Danes could be potential transmitters of knowledge, however. In principle, all Danes would be observing changes in dairying practices, because the transformation of the dairy sector in Denmark happened so rapidly and “radically.” Potentially least informed would be emigrants from urban areas, especially from Copenhagen. Interestingly, 3/4 of emigrants from Copenhagen, have an urban destination in the US (defined as one of the ten largest cities in the US in 188048Baltimore, Boston, Brooklyn, Chicago, Cincinnati, New Orleans, New York, Philadelphia, San Francisco, and St. Louis.). Thus, the emigrants with the least potential knowledge also went to the least relevant areas in the US.
Using the data from emigration records, we can also calculate the number of Danes travelling back to Denmark—an indication of the connections kept to the home country and thereby a measure of potential knowledge transfer. Here, we calculate the number of Danes travelling from Denmark to the US, stating the US as their last place of residence. This will include people born in the US who travel to Denmark and back as well as people born in Denmark who emigrated to the US and then travel back and forth.
As another measure of knowledge transfer, we use the fact that Danes who emigrated to the US set up their own newspapers to spread information. The most important Danish newspapers were Bien (San Francisco, California), Danskeren (Blair, Nebraska), Dannevirke (Cedar Falls, Iowa), and Den Danske Pioneer (Omaha, Nebraska). We use the digitized versions of these from the Museum of Danish America to calculate the number of times they mention “dairying”: this may be articles about dairying, or dairymen, or also job advertisements.49In particular we search for the Danish words mælkeri, mejeri, meieri, mejerske, and meierske. Up to 1920, these words were mentioned 2,172 times in total. We aggregate the number of mentions by newspaper and by decade and locate it at the place of publication. We then create a heat map to calculate the number of mentions reaching out to a particular county.50As the newspapers were distributed nationally, the radius for the heat map is set to 4,700 km to cover the whole US. This gives us a measure of “dairy newspaper coverage” on the county level, measuring how close a county is to the publication of a Danish newspaper, adjusted for how often the particular newspaper mentioned dairying, by decade.
As extremely few emigrants arrive before 1890, we can only use the variables of dairy-related Danes and Danes travelling back to Denmark, which are based on the Danish emigration data, in an OLS setting. Also, of course, all of the aforementioned measures are highly endogenous. The results can be found in table 3, where we also included an interaction term between ln(Danes) and ln(newspapers), but this was insignificant so has been excluded. The emigration data only covers emigrants up to 1908, and thus estimations only include the years 1890–1910. Evidently, all measures have an independent effect. The correlation with the general Danish population, however, is hardly changed by the inclusion of these other variables. Of course, these are pure correlations, which nevertheless indicate that the estimated effect in the main specification cannot be traced to Danes working in dairying alone. More generally, this also speaks against a transfer of people or human capital and in favour of a transfer of knowledge.
Table 3. Pooled OLS estimation, 1890–1910.
Standard errors in parentheses ∗ p < 0.10, ∗∗ p < 0.05, ∗∗∗ p < 0.01
Geography controls include the natural logarithm of the share of state area with very high or high pasture suitability, the share of state area with high or very high wheat suitability, average elevation, average Terrain Ruggedness Index of state area (measured in millimetres), and the distance to a canal or steamboat navigable river. Robust standard errors are in parentheses, clustered at the state level. *** p < 0.01 ** p < 0.05 * p < 0.10
The effect seems to stem from the general Danish immigrant population rather than Danes related to dairying. Yet, it could be that it was not especially Danes who fostered development in the area, but immigrants in general or another group of immigrants which happens to correlate with Danes. We therefore include other (dairy-relevant) immigrant groups as of 1880, namely Swedish, Norwegians, Germans, English, and Irish, interacted with time. We also use an aggregate measure of all foreign born, resembling Sequeira et al. (2020). Results are presented in table A8 in the appendix. Several other immigrant groups have a positive effect on dairy cow numbers but the effect of Danes remains when including all immigrant groups in a horserace specification and is also the most important in terms of significance and magnitude. This is also true for the aggregate measure of foreign born residents. The result that also other immigrants have a positive effect is not very surprising. 1880 marks the period of mass migration to the United States, when thousands of settlers arrived from Europe and settlements expanded to the west. Due to the general settlement pattern, different immigrant groups will naturally correlate with each other. Moreover, people may choose to settle in the same region due to cultural similarity. Also, immigration agencies shaped the settlement patterns, with different agencies being active in different European countries. Often tickets were sold to a particular destination, and sometimes land was assigned/acquired before the journey. For example, as mentioned above, railroad companies bought large areas of land, built the railroad and then sold slots along the line to new settlers with the result that clusters of immigrants of different nationalities formed for those European countries in which the firms were active (Hvidt, 1971).
If it is not the flow of people but rather the flow of ideas we are measuring, others must have worked together with Danes or imitated the way Danes were conducting dairying. We therefore also present estimation results using other dairy-relevant immigrant groups, but now also including interaction terms between those immigrant groups and Danes.51We also estimate this specification including all fifteen pairwise interactions terms for the selected immigrant groups. Only the interactions between Scandinavian settlers turn out significantly positive, and the effect of Danes by themselves remains. Results are not presented here but are available on request. We find a positive interaction effect with Swedes and Norwegians, which makes intuitive sense as these are all first generation immigrants and thus not likely to be proficient in English. Danes, Swedes and Norwegians would nevertheless understand each other and are also culturally closer to each other than other immigrant groups. It is thus likely that areas receiving both Danes and Swedes or Norwegians would benefit in terms of dairying activity from the interaction between them.
Conclusion
We have provided a wealth of evidence that Danish settlements established before 1880 significantly fostered the development of the dairy sector in the US: areas which had received more Danes both specialized in dairying and employed more modern production techniques. Moreover, we provide suggestive evidence that this was principally due to knowledge transfer to the local population rather than a direct effect of Danes working in dairying themselves. We have thus presented an example of knowledge transfer through migration in a rather unique setting: first, the story of Danes bringing in technological knowledge is based on an existing immigrant community. Second, these original immigrants were by no means “economically desirable.” And third, we were able to show how even a very small group of immigrants can have a positive impact on the local economy through spillover effects. This has important implications for the current debate on immigration, especially as it has often taken a rather negative stance recently. Our results show that it is difficult to determine which immigrants are “desirable” ex ante and that the host country may benefit from immigration even decades after the first arrival.
Appendix
Table A1. Summary statistics
Figure A1. Comparison of Danes to other nationalities, 1880. Data source: IPUMS, 1880 census.
Figure A2. Comparison of Danes to other nationalities, 1880 (cont.). Data source: IPUMS, 1880 census.
Figure A3. Partial regression plot between ln(Danes) and ln(cows). County level, years 1890–1920. 32
Table A2. Difference-in-differences estimation for butter production (state level)
Geography controls include the natural logarithm of the share of state area with very high or high pasture suitability, the share of state area with high or very high wheat suitability, average elevation, average Terrain Ruggedness Index of state area (measured in millimetres), and the distance to a canal or steamboat navigable river. Robust standard errors are in parentheses, clustered at the state level. *** p < 0.01 ** p < 0.05 * p < 0.10
Figure A4. Coefficients on interaction between year 1870 and ln(Danes1880) for different subsamples (based on the number of Danes in 1880), dependent variable: ln(cows).
Table A3. Flexible difference-in-differences estimation
Geography controls include the natural logarithm of the share of county area with very high or high pasture suitability, the share of county area with high or very high wheat suitability, average elevation, average Terrain Ruggedness Index of county area (measured in millimetres), and the distance to a canal or steamboat navigable river. Robust standard errors are in parentheses, clustered at the county level. *** p < 0.01 ** p < 0.05 * p < 0.10
Figure A5. Histogram of t-values resulting from randomizing the distribution of Danes in equation 1
Table A4. Conley standard errors for different cut-off points
Geography controls include the natural logarithm of the share of county area with very high or high pasture suitability, the share of county area with high or very high wheat suitability, average elevation, average Terrain Ruggedness Index of county area (measured in millimetres), and the distance to a canal or steamboat navigable river. *** p < 0.01 ** p < 0.05 * p < 0.10
Table A5. Alternative transformation of Danes1880
Geography controls include the natural logarithm of the share of county area with very high or high pasture suitability, the share of county area with high or very high wheat suitability, average elevation, average Terrain Ruggedness Index of county area (measured in millimetres), and the distance to a canal or steamboat navigable river. Robust standard errors are in parentheses, clustered at the county level. *** p < 0.01 ** p < 0.05 * p < 0.10
Table A6. Alternative treatment variables
Geography controls include the natural logarithm of the share of county area with very high or high pasture suitability, the share of county area with high or very high wheat suitability, average elevation, average Terrain Ruggedness Index of county area (measured in millimetres), and the distance to a canal or steamboat navigable river. Robust standard errors are in parentheses, clustered at the county level. *** p < 0.01 ** p < 0.05 * p < 0.10
Table A7. Further robustness checks
Geography controls include the natural logarithm of the share of county area with very high or high pasture suitability, the share of county area with high or very high wheat suitability, average elevation, average Terrain Ruggedness Index of county area (measured in millimetres), and the distance to a canal or steamboat navigable river. Robust standard errors are in parentheses, clustered at the county level. *** p < 0.01 ** p < 0.05 * p < 0.10
Table A8. Effect of other immigrant groups
Geography controls include the natural logarithm of the share of county area with very high or high pasture suitability, the share of county area with high or very high wheat suitability, average elevation, average Terrain Ruggedness Index of county area (measured in millimetres), and the distance to a canal or steamboat navigable river. Robust standard errors are in parentheses, clustered at the county level. *** p < 0.01 ** p < 0.05 * p < 0.10
References
Abramitzky, R. and L. Boustan (2016). Immigration in American economic history. NBER Working Paper no. 21882.
Abramitzky, R., L. Boustan, and K. Eriksson (2012). Europe’s tired, poor, huddled masses: Self-selection and economic outcomes in the age of mass migration. American Economic Review 102(5), 1832–1856.
Akcigit, U., J. Grigsby, and T. Nicholas (2017a). Immigration and the rise of American ingenuity.
American Economic Review: Papers and Proceedings 107(5), 327–331.
Akcigit, U., J. Grigsby, and T. Nicholas (2017b). The rise of American ingenuity: Innovation and inventors of the Golden Age. NBER Working Paper no. 23047.
Alvord, H. E. (1899). Dairy development in the United States. Yearbook of the United States Department of Agriculture for 1899, 381–402.
Ammon, C. and A. Baiardi (2018). The bamboo network in international trade: The long term effect of Chinese migration to the U.S. Mimeo.
Andersen, T. B., P. S. Jensen, and C. V. Skovsgaard (2016). The heavy plow and the agricultural revolution in medieval Europe. Journal of Development Economics 118, 133–149.
Atack, J. (March 2017). Historical geographic information systems (GIS) database of nineteenth century U.S. canals.
Atack, J. (September 2015). Historical geographic information systems (GIS) database of steamboat-navigated rivers during the nineteenth century in the United States.
Bateman, F. (1968). Improvement in American dairy farming, 1850–1910: A quantitative analysis. Journal of Economic History 28(2), 255–273.
Boberg-Fazlic, N., P. S. Jensen, M. Lampe, P. Sharp, and C. Skovsgaard (2020). Getting to Denmark: The role of elites for development. SDU Discussion Papers on Business and Economics No. 5/2020.
Borjas, G. and K. Doran (2012). The collapse of the Soviet Union and the productivity of American mathematicians. Quarterly Journal of Economics 127(3), 1143–203.
Brøndal, J. (2013). Danes and Danish Americans, 1870–1940. In E. Barkan (Ed.), Immigrants in American History: Arrival, Adaptation, and Integration, pp. 323–331. Santa Barbara, CA: ABC-CLIO.
Buchardi, K., T. Chaney, and T. Hassan (2017). Migrants, ancestors, and foreign investments. Mimeo.
Buchardi, K. and T. Hassan (2013). The economic impact of social ties: Evidence from German reunification. Quarterly Journal of Economics 128(3), 1219–1271.
Bustos, P., B. Caprettini, and J. Ponticelli (2016). Agricultural productivity and structural transformation: Evidence from Brazil. American Economic Review 106(6), 1320–65.
Cance, A. (1925). Immigrants and American agriculture. Journal of Farm Economics 7(1), 102–114.
Chen, S. and J. K. Kung (2016). Of maize and men? The effect of a New World crop on population and economic growth in China. Journal of Economic Growth 21(1), 71–99.
Christensen, T. P. (1924). The History of Danes in Iowa. PhD thesis, State University of Iowa.
Christensen, T. P. (1927). Danish settlement in Minnesota. Minnesota History 8(4), 363–385.
Christensen, T. P. (1928). Danish settlement in Wisconsin. Wisconsin Magazine of History 12(1), 19–40.
Christensen, T. P. (1957). The first cream separator in the United States. The Annals of Iowa 34(1), 56–58.
Comin, D., W. Easterly, and E. Gong (2010). Was the wealth of nations determined in 1000 B.C.? American Economic Journal: Macroeconomics 2(3), 69–97.
Cook, J. C. (2014a). Potatoes, milk, and the Old World population boom. Journal of Development Economics 110, 123–138.
Cook, J. C. (2014b). The role of lactase persistency in precolonial development. Journal of Economic Growth 19, 369–406.
Dall, T., P. Jensen, and A. Naz (2014). New crops, local soils and urbanization: Clover, potatoes and the growth of Danish market towns, 1672–1901. EHES Working Papers in Economic History 65.
Danker, M. (1968). Factors influencing the use of agricultural cooperatives. Illinois Agricultural Economics 8(1), 20–26.
Det Danske Udvandrerarkiv (2018). Københavns Politis Udvandrerprotokoller (hosted at Danish Demographic Database, delivery 12-02-2018).
Donaldson, D. and R. Hornbeck (2016). Railroads and American economic growth: A “market access” approach. Quarterly Journal of Economics 131(2), 799–858.
Drejer, A. A. (1933). Mejeribruget. In K. Hansen (Ed.), Det Danske Landbrugs Historie, pp. 99–419.
Copenhagen: G. E. C. Gads.
Edwards, E. E. (1938). T. L. Haecker, the father of dairying in Minnesota. Minnesota History 19(2), 148–161.
Fourie, J. and D. von Fintel (2014). Settler skills and colonial development: The Huguenot wine-makers in eighteenth-century Dutch South Africa. Economic History Review 67(4), 932–963.
Frost, W. (2002). Migrants and technological transfer: Chinese farming in Australia, 1850–1920.
Australian Economic History Review 42(2), 113–131.
Furer, H. B. (1972). The Scandinavians in America, 986–1970. Dobbs Ferry, NY: Oceana Publications, Inc.
Galor, O. and D. N. Weil (2000). Population, technology, and growth: From Malthusian stagnation to the demographic transition and beyond. American Economic Review 90(4), 806–828.
Gould, D. M. (1994). Immigrant links to the home country: Empirical implications for U.S. bilateral trade flows. Review of Economics and Statistics 76, 302–316.
Greif, A. (1989). Reputation and coalitions in medieval trade: Evidence on the Maghribi traders. Journal of Economic History 49(4), 857–882.
Greif, A. (1993). Contract enforceability and economic institutions in early trade: The Maghribi traders’ coalition. American Economic Review 83(3), 525–548.
Haines, M. R. (2010). Historical, demographic, economic, and social data: The United States, 1790–2002. Ann Arbor, MI: Inter-university Consortium for Political and Social Research [distributor], 2010-05-21. https://doi.org/10.3886/ICPSR02896.v3.
Haines, M. R., P. Fishback, and P. Rhode (2018). United States Agriculture Data, 1840–2012. Ann Arbor, MI: Inter-university Consortium for Political and Social Research [distributor], 2018-08-20. https://doi.org/10.3886/ICPSR35206.v4.
Hatton, T. J. (2010). The cliometrics of international migration: A survey. Journal of Economic Surveys 24(5), 941–969.
Henriksen, I. (1993). The transformation of Danish agriculture 1870–1914. In K. G. Persson (Ed.), The economic development of Denmark and Norway since 1870, pp. 153–177. Aldershot: Edward Elgar.
Henriksen, I., M. Lampe, and P. Sharp (2012). The strange birth of liberal Denmark: Danish trade protection and the growth of the dairy industry since the mid‐nineteenth century. Economic History Review 65(2), 770–788.
Henriksen, I. and K. H. O’Rourke (2005). Incentives, technology and the shift to year-round dairying in late nineteenth-century Denmark. Economic History Review 53(3), 520–45.
Hornbeck, R. (2010). Barbed wire: Property rights and agricultural development. Quarterly Journal of Economics 125(2), 767–810.
Hornung, E. (2014). Immigration and the diffusion of technology: The Huguenot diaspora in Prussia.
American Economic Review 104(1), 84–122.
Howitt, P. (2000). Endogenous growth and cross-country income differences. American Economic Review 90(4), 829–846.
Hunt, J. and M. Gauthier-Loiselle (2010). How much does immigration boost innovation? American Economic Journal: Macroeconomics 2(2), 31–56.
Hvidt, K. (1971). Flugten til Amerika, eller Drivkræfter I masseudvandringen fra Danmark 1868–1914. Jysk Selskab for historie. Universitetsforlaget i Aarhus.
Jensen, B. (1897). Oversigt over sharon creamery’s 2. aars driftsregnskab for aaret 1896. Mælketiderne 10, 551–552.
Jeppesen, T. G. (2016). Fra skandinavisk immigrant til amerikaner: Teori og empiri om assimileringen i det amerikanske samfund. University of Southern Denmark Studies in History and Social Sciences, vol. 537.
Jia, R. (2014). Weather shocks, sweet potatoes and peasant revolts in historical China. Economic Journal 124, 92–118.
Jørgensen, S. E. (1993). A scattered people? Danish settlement structure and community transplantations in the Midwest. With examples from the Danish islands of Lolland, Falster and Møn. In B. F. Larsen, Bender, and K. Veien (Eds.), On Distant Shores: Proceeding of the Marcus Lee Hansen Immigration Conference, pp. 99–120. Aalborg, Denmark: Danes Worldwide Archives.
Kantor, S. and A. Whalley (2019). Research proximity and productivity: Long-term evidence from agriculture. Journal of Political Economy 127(21), 819–854.
Keillor, S. J. (1993). Agricultural change and crosscultural exchange: Danes, Americans, and dairying, 1880–1930. Agricultural History 67(4), 58–79.
Keillor, S. J. (2000). Cooperative Commonwealth: Co-ops in Rural Minnesota, 1859–1939. Minnesota: Historical Society Press.
Kerr, S. P. and W. R. Kerr (2011). Economic impacts of immigration: A survey. Finnish Economic Papers, Finnish Economic Association 24(1), 1–32.
Kerr, W. R. and W. F. Lincoln (2010). The supply side of innovation: H-1B visa reforms and U.S. ethnic invention. Journal of Labor Economics 28(3), 473–508.
Kjær, I. and M. B. Larsen (1972). Dansk i Amerika: Status og perspektiv. Sprog i Norden 3(1), 45–57. Knapp, J. G. (1969). The rise of American Cooperative Enterprise 1620–1920. Dansville, IL: Interstate Publishers and Printers, Inc.
Lampe, M. and P. Sharp (2017). A quest for useful knowledge: The early development of agricultural accounting in Denmark and Northern Germany. Accounting History Review 27(1), 73–99.
Lampe, M. and P. Sharp (2018). A Land of Milk and Butter: How Elites Created the Modern Danish Dairy Industry. Chicago: University of Chicago Press.
Lampe, M. and P. Sharp (2019). Accounting for the wealth of Denmark: A case study of Smithian growth using the emergence of modern accounting in Danish dairying. European Journal of the History of Economic Thought 26(4), 659–697.
Larsen, U. (1982). A quantitative study of emigration from Denmark to the United States, 1870–1913. Scandinavian Economic History Review 30(2), 101–128.
Lee, E. (1966). A theory of migration. Demography 3(1), 47–57.
Leisner, J. (2005). Weeds, heat and pure cultures—On the differential success of new technologies in the Danish and American creamery industries in the 1890s. Food Policy 30, 419–433.
Longhi, S., P. Nijkamp, and J. Poot (2005). A meta-analytic assessment of the effect of immigration on wages. Journal of Economic Surveys 19(3), 451–477.
Mackintosh, J. (1990). Ethnic patterns in Danish immigrant agriculture: A study of Audubon and Shelby counties, Iowa. Agricultural History 64(4), 59–77.
Mackintosh, J. (1992). Elk Horn-Kimballton—The largest Danish settlement in America. In B. F. Larsen and H. Bender (Eds.), Danish Emigration to the U. S. A., pp. 157–174. Aalborg, Denmark: Danes Worldwide Archives.
Mackintosh, J. (1993). The lure of prosperity: Economic development among Danish immigrants to Iowa. In B. F. Larsen, H. Bender, and K. Veien (Eds.), On Distant Shores: Proceeding of the Marcus Lee Hansen Immigration Conference, pp. 177–190. Aalborg, Denmark: Danes Worldwide Archives.
McLaughlin, E. and P. Sharp (2018). Competition between organisational forms in Danish and Irish dairying around the turn of the twentieth century. University of St. Andrews Discussion papers in Environmental Economics, Paper 2015-16.
Moser, P., A. Voena, and F. Waldinger (2014). German Jewish emigres and US invention. American Economic Review 104(10), 3222–3255.
Nunn, N. and D. Puga (2012). Data—Ruggedness Terrain Index.
Nunn, N. and N. Qian (2011). The potato’s contribution to population and urbanization: evidence from a historical experiment. Quarterly Journal of Economics 126(2), 593–650.
Olmstead, A. L. and P. Rhode (2008). Creating Abundance: Biological Innovation and American Agricultural Development. Cambridge: Cambridge University Press.
Olsson, O. and D. A. Hibbs, Jr (2005). Biogeography and long-run economic development. European Economic Review 49(4), 909–938.
O’Rourke, K. (1997). The European grain invasion, 1870–1913. Journal of Economic History 57(4), 775–801.
O’Rourke, K. (2006). Late nineteenth-century Denmark in an Irish mirror: Land tenure, homogeneity and the roots of Danish success. In J. Campbell, J. Hall, and O. Pedersen (Eds.), National Identity and the Varieties of Capitalism: The Danish Experience, pp. 159–196. Montreal & Kingston: McGill-Queen’s University Press.
O’Rourke, K. (2007). Culture, conflict and cooperation: Irish dairying before the Great War. Economic Journal 117, 1357–1379.
Ortega, F. and G. Peri (2009). The causes and effects of international migrations: Evidence from OECD countries 1980–2005. NBER Working Paper no. 14833.
Pedersen, E. K. (1992). An outline of the historiography of Danish emigration to America. In B. F. Larsen and H. Bender (Eds.), Danish Emigration to the U.S.A., pp. 190–209. Aalborg, Denmark: Danes Worldwide Archives.
Pedersen, J. (1999). Teknologisk udvikling i maskinindustrien: Burmeister & Wain 1875–1939. Lyngby: Polyteknisk Boghandel og Forlag.
Peri, G. (2012). The effect of immigration on productivity: Evidence from US states. Review of Economics and Statistics 94(1), 348–358.
Putterman, L. (2008). Agriculture, diffusion and development: Ripple effects of the Neolithic Revolution. Economica 75(300), 729–748.
Quispe-Agnoli, M. and M. Zavodny (2002). The effect of immigration on output mix, capital, and productivity. Economic Review-Federal Reserve Bank of Atlanta 87(1), 17–27.
Rauch, J. and V. Trindade (2002). Ethnic Chinese networks in international trade. Review of Economics and Statistics 84(1), 116–130.
Rocha, R., C. Ferraz, and R. Soares (2017)). Human capital persistence and development. American Economic Journal: Applied Economics 9(4), 105–136.
Rogers, E. (1978). ‘Creamery Fever’ among the Scandinavians in Grant County before WWI. South Dakota History 9, 24–35.
Ruggles, S., S. Flood, R. Goeken, J. Grover, E. Meyer, J. Pacas, and M. Sobek (2018). IPUMS USA: Version 8.0 [dataset]. Minneapolis, MN: IPUMS, 2018. https://doi.org/10.18128/D010.V8.0.
Sequeira, S., N. Nunn, and N. Qian (2020). Immigrants and the making of America: The short- and long-run effects of immigration during the age of mass migration. Review of Economic Studies 87(1), 382–419.
Sundstrom, M. (1986). Technological transfer: The case of Canadian involvement in the New Zealand dairy industry, 1880–1920. Journal of Rural Studies 2(2), 103–116.
Sørensen, A. C. (1908). Danske i amerikansk landbrug of mejeri. In P. S. Vig (Ed.), Danske i Amerika, Vol.1, pp. 163–326. Minneapolis and Chicago: C. Rasmussen Publishing Company. Turner, F. J. (1920). The Frontier in American History. New York: H. Holt and Co.
Vig, P. (1908). Danske i Amerika, Vol. 1. Minneapolis and Chicago: C. Rasmussen Publishing Company. Vig, P. (1916). Danske i Amerika, Vol. 2. Minneapolis and Chicago: C. Rasmussen Publishing Company.



Policy Commons
American Economic Association

















